AtomInfo.Ru


Проект дополнения к СПАР опубликован

AtomInfo.Ru, ОПУБЛИКОВАНО 15.09.2020

Министерство торговли США опубликовало проект соглашения о продлении срока действия соглашения СПАР, регулирующего условия поставок российского обогащённого урана на американский рынок.

Соглашение СПАР (соглашение о приостановке антидемпингового расследования, RSA) было заключено в октябре 1992 года, причём с российской стороны тогда выступал ещё Минатом.

В дальнейшем соглашение пять раз дополнялось, последняя по времени (действующая) редакция соглашения была подписана в феврале 2008 года. Срок действия соглашения подходит к концу в 2020 году.

В целях возможного дальнейшего продления срока действия СПАР министерство торговли США дало официальный старт процессу консультаций 22 февраля 2019 года. Сейчас этот процесс подходит к концу.

11 сентября 2020 года министерство и "Росатом" парафировали изменённую редакцию соглашения СПАР, которой предстоит быть в силе до 2040 года.

В соответствии с новой редакцией, экспорт в США российского обогащённого урана будет продолжен. Соглашение определяет ряд условий для продолжения экспорта, самое главное из которых - размеры квоты российского ОУП на американском рынке.

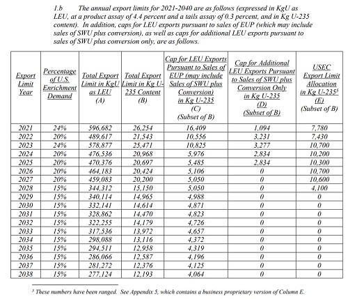
Сейчас российская квота составляет примерно 20%. В 2021 и 2023 годах она составит 24%, в 2022 и 2024-2027 годах - 20%, в 2028-2040 годах - 15%. Следует отметить, что первоначально в ходе консультаций американская сторона предлагала бо́льшие сокращения квоты, так что российские переговорщики определённо смогли добиться успехов.

В таблице ниже приводятся по годам российские квоты как в процентах, так и в абсолютном выражении.

Абсолютные значения были рассчитаны исходя из Lower scenario потребностей США в работе разделения, включённого в прогноз WNA от 2019 года. Новая редакция СПАР предусматривает проведение в будущем коррекций для приведения этих значений к реальным объёмам потребностей.

Щёлкните левой клавишей мыши для просмотра

Ключевые слова: ЯТЦ, Обогащение, США, Россия, Статьи


Другие новости:

Работы по созданию реактора TWR на бегущей волне поставлены на паузу

"TerraPower" сделала выбор в пользу "Natrium".

Крайний срок подачи тезисов на конференцию FR21 сдвинут на 30 сентября

Конференция пройдёт в Китае 10-13 мая 2021 года.

Частная компания в ЮАР разрабатывает проект HTML100 на базе PBMR

При той же мощности стоимость строительства дешевле.

Герой дня

Чжэн Мингуан о китайском атоме

Чжэн Мингуан о китайском атоме

По словам Чжэн Мингуана, строительство двух блоков с реакторами CAP-1400 в провинции Шаньдун "проходит гладко". Два этих блока большой мощности будут способствовать электроснабжению после коронавируса.



ИНТЕРВЬЮ

Владимир Кривенцев

Владимир Кривенцев
Конференцию FR21 по быстрым реакторам и их топливным циклам примет Китайская Народная Республика в лице Китайского института атомной энергии (CIAE). Конференция пройдёт с 10 по 13 мая 2021 года.


МНЕНИЕ

AtomInfo.Ru

AtomInfo.Ru
Строительство в США сертифицируемого реактора "NuScale" не предполагается (хотя из сообщений СМИ можно сделать обратный вывод). Появление планируемого к строительству в США проекта "NuScale720" можно ожидать не ранее 2023 года.


Поиск по сайту: