AtomInfo.Ru


ВТГР и гелий - на примере HTTR

AtomInfo.Ru, ОПУБЛИКОВАНО 12.11.2018

Высокотемпературные газоохлаждаемые реакторы (ВТГР) - направление, привлекающее к себе внимание благодаря усилиям китайских атомщиков. Именно в Китае строится первый в этом веке энергоблок с ВТГР "Shidao Bay-1".

В разной степени свой интерес к высокотемпературным установкам выражают Япония, ЮАР, Индонезия и некоторые другие страны.

В прошлом веке был накоплен определённый опыт по реакторам ВТГР (в первую очередь, в Германии). Одна из проблем, с которой столкнулись на этих аппаратах (и с которой предстоит столкнуться на тех ВТГР, которые будут построены) - проблема утечки гелия.

О том, как решается эта проблема на японском исследовательском высокотемпературном реакторе HTTR, рассказал коллектив авторов (Дайсуке Тотио и др.) в статье, опубликованной в "Journal Nuclear Science and Technology" в 2014 году.

Реактор HTTR

Реактор HTTR впервые достиг критики 11 октября 1998 года. Это аппарат мощностью 30 МВт(т) и температурой 950°C на выходе из активной зоны, причём эта температура была получена на практике (в первый раз - в 2004 году). Теплоноситель - гелий, замедлитель - графит.

Основные параметры HTTR

В реакторе предусмотрены три системы теплоотвода - основная система MCS, вспомогательная система ACS и система охлаждения корпуса VCS.

Система MCS предназначена для работы в нормальных условиях эксплуатации. Две остальные системы являются элементами конструктивной безопасности.

ACS в нормальных условиях эксплуатации пребывает в резерве и подключается для отвода остаточного энерговыделения после глушения реактора.

VCS в нормальных условиях эксплуатации охлаждает биологическую защиту, окружающую корпус реактора. При авариях с потерей принудительной циркуляции система VCS отводит тепло от активной зоны за счёт естественной циркуляции и излучения.

Организация теплоотвода в HTTR.
Щёлкните левой клавишей мыши для просмотра.

Утечки гелия

Гелий текуч, и утечки гелия необходимо строго контролировать, так как вместе с гелием первый контур могут покидать радиоактивные изотопы.

Простейшая мера защиты от утечек гелия, предпринятая на HTTR - везде, где возможно, использовались сварные соединения трубопроводов и/или оборудования. В тех случаях, где сварка невозможна или нецелесообразна, прнменяются различные уплотнения.

Несмотря на эти меры, утечки гелия всё равно будут происходить. Ограничение по утечкам гелия, поставленное для HTTR - 0,3% весовых в день. Выполнение данного ограничения было проверено перед пуском реактора, а также в ходе нескольких инспекций.

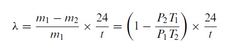
Скорость утечки гелия из первого контура можно оценить по следующей формуле:

Здесь m, P и T - масса, давление и средняя температура гелия. Индексы "1" и "2" соответствуют моментам времени, отстоящим друг от друга на время t в часах.

Результаты четырёх инспекций, проведенных в 2003-2009 годах, показали, что утечки гелия из первого контура HTTR находятся ниже заданного ограничения и составляют примерно 0,1% весовых в день.

Результаты инспекций

Второй способ измерения скорости утечки гелия основан на измерении временных интервалов между срабатываниями системы подпитки гелия при работе реактора на мощности:

Здесь Popen и Pclose - уставки срабатывания и отключения системы подпитки гелия (соответственно, открытия и закрытия её задвижки), а Pcontrol - заданное значение давления гелия при той мощности, на которой работает реактор.

Пример работы системы подпитки показан на графике ниже. По правой оси отложено нормализованное давление (P - Pclose) / (Popen - Pclose). По результатам измерений, скорость утечки гелия не превышала 0,1% весовых в день.

Авторы статьи в "Journal Nuclear Science and Technology" пришли к выводу, что меры, предпринятые на реакторе HTTR, оказались достаточными для того, чтобы сдерживать утечки гелия ниже проектной величины 0,3% весовых в день.

Реальные скорости утечек на японском реакторе составляли порядка 0,1% весовых в день.

Авторы считают также, что подходы, использованные на реакторе HTTR, по минимизации и контролю за утечками гелия, будет возможно перенести на будущий японский коммерческий ВТГР.

Ключевые слова: ВТГР, Япония, Статьи


Другие новости:

"Toshiba" отказалась от планов по строительству АЭС "Moorside"

Ликвидация компании "NuGen" начнётся в январе.

АЭС "Barakah" - проблемы с бетоном

Как минимум на двух блоках станции обнаружены трещины.

На блоке "Sanmen-2" выполнены условия для сдачи в коммерческую эксплуатацию

Третий введённый китайский блок с AP-1000.

Герой дня

DHR - китайский реактор для тепла

DHR - китайский реактор для тепла

Характеристики демонстрационного блока, строго говоря, пока не определены и могут отличаться от характеристик DHR-400. Но уже имеется кандидатная площадка - первый блок будет построен вблизи Сюйдапу (Xudapu) в провинции Ляонин.



ИНТЕРВЬЮ

Анатолий Енин

Анатолий Енин
Из недавних наших разработок хотел бы выделить сборку ВВР-КН с низкообогащённым топливом для Казахстана. Это принципиально новая конструкция, в ней использованы твэлы с более тонкой стенкой, а количество твэлов увеличено до восьми.


МНЕНИЕ

Владимир Рычин

Владимир Рычин
Но есть один вопрос, ответа на который дорожная карта не даёт. Точнее, даёт, но... судите о нём сами. Кто станет потребителем всего перечисленного великолепия? Наипростейший вариант - строить малые АЭС для себя, для своих канадских потребителей.


Поиск по сайту:


Rambler's Top100