AtomInfo.Ru


Сан-Онофре - арбитражная точка (ч.XIV)

AtomInfo.Ru, ОПУБЛИКОВАНО 05.11.2018

Первая часть - по этой ссылке.   Седьмая часть - по этой ссылке.
Вторая часть - по этой ссылке.   Восьмая часть - по этой ссылке.
Третья часть - по этой ссылке.   Девятая часть - по этой ссылке.
Четвёртая часть - по этой ссылке.   Десятая часть - по этой ссылке.
Пятая часть - по этой ссылке.   Одиннадцатая часть - по этой ссылке.
Шестая часть - по этой ссылке.   Двенадцатая часть - по этой ссылке   
Тринадцатая часть - по этой ссылке

В 2017 году международная торговая палата поставила точку в длившемся с 2013 года арбитражном разбирательстве вокруг парогенераторов АЭС "San Onofre" (США).

31 января 2012 года третий блок АЭС "San Onofre" был остановлен после обнаружения течи в парогенераторе. Дефекты были найдены и на парогенераторах блока №2.

Попытки разработать методику ремонта парогенераторов к успеху не привели. Оба блока были досрочно закрыты.

Три десятка ошибок

Итак, блоки были окончательно остановлены, а стороны приступили к выяснению отношений в арбитраже. Оставим в покое юридические диспуты и коснёмся только выдвигавшихся претензий технического характера.

Американский заказчик, компания SCE, настаивал на том, что японские подрядчики, компания MHI, допустили порядка 30 ошибок при проектировании парогенераторов замены.

Арбитры выделили из них девять наиболее значительных ошибок, причём возможными обсуждать в полностью открытом режиме было всего четыре.

Щёлкните левой клавишей мыши для просмотра

Три ошибки были связаны с кодом SSPC (Steam Generator Steady State Performance Calculation Code). Он является собственностью компании MHI и используется для расчёта основных теплогидравлических характеристик парогенераторов - температуры, давления, скорости, кратности циркуляции (circulation ratio, CR) и других параметров.

Американцы доказывали трибуналу, что эти ошибки (friction error, contractions error, downcomer turn error) привели к завышению значений CR в японских расчётах.

По их мнению, японский код плохо рассчитывал область опускного участка (downcomer) - область рядом с внешней стенкой парогенератора, через которую вода возвращается в парогенератор.

Опускной участок показан слева вверху тёмно-синими стрелками.
Щёлкните левой клавишей мыши для просмотра

1944 или 1913

Первая из ощибок - friction error, ошибка в учёте трения. Большую часть фактических данных по этой ошибке арбитры удалили из текста решения, так как они носят коммерческий характер. Сохранилась только суть проблемы.

Поток воды, проходящий через опускной участок парогенератора, испытывает трение при контакте со стенками, сделанными из стали, что приводит к потере давления. Заказчик утверждал, что японские конструкторы недооценили шероховатость стали и, соответственно, недооценили эффекты трения на данном участке.

Консультанты заказчика полагали верным использовать в расчётах диаграмму Муди, отражающую зависимость коэффициента трения от шероховатости стенок и числа Рейнольдса. Эту диаграмму в 1944 году предложил американский инженер Льюис Ферри Муди, специалист по теплогидравлике.

Японцы, однако, использовали в коде SSPC метод, предложенный в 1913 году.

Арбитры убрали из текста решения все подробности. Но можно предположить, что речь идёт о методе немецкого профессора Пауля Рихарда Генриха Блазиуса, написавшего в 1913 году статью "Das A'hnlichkeitsgesetz bei Reibungsvorga'ngen in Flu'ssigkeiten", Forshungarbeiten Ver. Dtsch. Ing., 131.

Эта работа и поныне входит в число классических трудов по расчётам трения в трубах.

По мнению заказчика, в заочном состязании классиков для парогенераторов АЭС "San Onofre" нужно было сделать выбор в пользу американского инженера.

В ответ японская компания объяснила, что предпочла метод 1913 года, так как он лучше подходил для компьютерных расчётов, и согласилась, что он менее точен, чем метод, основанный на диаграмме Муди.

В то же время японцы оспорили масштаб и значимость возникших вследствие этого ощибок. Также они поставили под вопрос приводимые заказчиком данные по шероховатости стали (70 мкм).

Рассмотрев аргументы сторон, арбитры сочли наличие ошибки friction error доказанной.

Формулы Идельчика

Следующая ошибка, на наличии которой в коде SSPC настаивали американцы, была названа contractions error, ошибка сужений.

На своём пути через опускной участок поток воды проходит через ряд сужений. В японском проекте парогенератора таких сужений было восемь - по одному на каждую опорную доску (tube support plate, TSP), а также одно сужение в нижней части опускного участка. На каждом из сужений происходит потеря давления.

Щёлкните левой клавишей мыши для просмотра

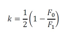
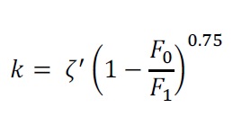
Профессор Исаак Евсеевич Идельчик предложил в своё время следующую формулу для расчёта коэффициента местного сопротивления в случае внезапного сужения трубы (площади F0 и F1 см. на рисунке выше):

Но сужение бывает не только резким (внезапным), но и плавным. Для этого случая Исаак Евсеевич рекомендовал использовать свою формулу в откорректированном виде:

Японцы в своём коде применили формулы советского учёного, но скомбинировали их. Как именно они это сделали, осталось покрытым коммерческой тайной, но американцы сочли, что полученная формула вышла крайне неудачной - занижение потерь давления на сужениях, рассчитанных по японской формуле, достигало 361%.

Последовавшие в ходе арбитражного разбирательства споры приглашённых технических экспертов были ожесточёнными. Японцы настаивали на том, что они улучшили формулы Идельчика на основании своих экспериментальных данных, но в конечном итоге не смогли чётко и внятно восстановить ход своих рассуждений при модификации формулы.

Арбитры признали наличие ошибки contractions error, однако не сочли её существенной.

Границы эмпирики

Третья предполагаемая ошибка в коде SSPC возникала при расчётах нижней части опускного участка, где вода выходит из опускного участка и поступает в область трубного пучка. Название ошибки - downcomer turn error.

Поворот потока также приводит к потере давления. Расчёт величин потерь ведётся через соотношение ширин опускного потока b0 и переходного участка b1.

Щёлкните левой клавишей мыши для просмотра

Ситуация с данной ошибкой зеркальна ситуации с ошибкой contractions error. На этот раз японцы использовали в своём коде формулы из справочника Идельчика без изменений.

Проблема заключалась в том, что они взяли эмпирические формулы, имеющие границы применимости (соотношение ширин не более 2,0). Проектируемый в MHI парогенератор для АЭС "San Onofre" в эти границы не попадал.

Если быть точнее, то японские конструкторы экстраполировали формулы из справочника Идельчика. Точность экстраполяции всегда вызывает сомнения. Вот и в этом случае, по мнению консультантов заказчика, экстраполяция привела к значительным ошибкам в расчётах потери давления на переходном участке.

Оспаривать аргументацию американской стороны в данном случае было сложно. Арбитры признали факт наличия ошибки downcomer turn error.

Таким образом, все три ошибки в коде SSPC были доказаны в арбитраже. Но главное не сама ошибка, а её влияние на конечный результат. А вот с этим приключился конфуз.

Расчётные результаты после устранения всех трёх ошибок дали более стабильное состояние парогенератора, чем предполагалось в проектных расчётах MHI. Так бывает - исправив ошибку, получаешь результат лучший, чем было первоначально.

Соответственно, арбитраж не нашёл связи между ошибками в SSPC и инцидентом на АЭС "San Onofre", а надежды американцев теперь были связаны с ошибками в коде FIT-III.

Перепутанные буквы

Код FIT-III - собственная разработка компании MHI. С его помошью выполняются расчёты скоростей и паросодержаний в парогенераторе. Код был верифицирован на ряде общепринятых бенчмарков, включая такие как "10 MW test of 1974-1980", "APWR Model test of 1982-1986" и другие.

По мнению американцев, в коде FIT-III имелись как минимум три ощибки - two-phase pressure drop error, drift flux gradient error, porosity error:

Рассмотрение первой же ощибки вызвало смех в зале. Японцы парировали обвинения тем, что американские консультанты, утверждавшие о наличии ошибки, перепутали буквы греческого алфавита.

Ошибка two-phase pressure drop error, исходя из названия, возникала якобы при расчёте потерь давления в двухфазном потоке, причём речь шла о результирующей погрешности в скоростях потока "в разы".

Разбор ошибки в арбитраже сразу приобрёл комическую окраску. Для начала консультанты заказчика долго разбирались между собой, какую конкретно формулу из руководства пользователя FIT-III они собираются оспаривать.

После того, как консультанты договорились, последовал выпад с японской стороны - американцы неверно понимают значение одного из коэффициентов в этой формуле, так как перепутали буквы.

Точнее говоря, буква была одна и та же, а вот её регистр разный - Φ и φ. И смысл у коэффициентов, обозначаемых этими буквами, был различный.

Но не стоит сразу обвинять консультантов заказчика в подслеповатости. Дело в том, что в руководстве было дано определение коэффициента Φ, но отсутствовало определение коэффициента φ.

Раздосадованные консультанты подвергли разгромной критике положение дел с контролем качества в японской компании, но было поздно - арбитры, естественно, признали ошибку two-phase pressure drop error недоказанной.

Закон Ньютона

Следующая предполагаемая ошибка drift flux gradient error заставила участников разбирательства вспомнить школьный курс физики и второй закон Ньютона.

По мнению заказчика, японские конструкторы в своих расчётах двухфазного потока в парогенераторе нарушили второй закон Ньютона F=m×a, так как отказались использовать в коде FIT-III модель потока дрейфа (drift flux). Это одна из вариаций модели раздельного течения фаз с их взаимодействием только на границе раздела.

Это действительно так, пояснил в ответ консультант MHI доктор Хибики. Но дело в том, что инженерная теплогидравлика отличается от физики тем, что в ней знак равенства во втором законе Ньютона заменяется на знак "приблизительно равно".

То есть точного соблюдения второго закона Ньютона при описании движения двухфазного потока, строго говоря, не требуется, и поэтому отсутствие в расчётной модели FIT-III модели потока дрейфа не является чем-то ошибочным.

Более того, как показало разбирательство, модель потока дрейфа не применяется во многих известных теплогидравлических кодах, таких как CAFCA от группы AREVA и PORTHOS от института EPRI. Законы сохранения в этих кодах обеспечиваются другими методиками.

Модель потока дрейфа включена в расчётные формулы кода ATHOS, разработанного в EPRI. Но влияние этого на результаты расчётов парогенераторов для АЭС "San Onofre" показано не было.

Арбитры сочли, что нельзя требовать от MHI использовать модель, которую не применяют другие компании. Ошибка drift flux gradient error признана не была.

Кувшин молока

Чем дальше, тем веселее. При разборе следующей предполагаемой ошибки porosity error в коде FIT-III арбитрам пришлось решать задачу, можно ли налить молока в кувшин больше его объёма.

Проходные сечения в парогенераторе могут быть открыты, частично открыты или закрыты. В расчётах в коде FIT-III для моделирования использовался коэффициент пористости. Если он равен нулю, то проходное сечение полностью перекрыто, если единице - то полностью открыто и в нём нет препятствий для прохождения потока.

По утверждению американцев, в некоторых расчётах, выполненных специалистами MHI по коду FIT-III, коэффициент пористости превышал единицу, то есть проходные сечения были больше физически существующих.

"Это похоже на утверждение, что в кувшине объёмом 1 галлон содержится 1,2 галлона молока", - образно пояснили арбитрам американские консультанты. Естественно, это противоречит законам физики.

Коли заказчик перешёл на образный язык, то и ответ японской компании можно записать в том же стиле: "Это не баг, а фича". Превышение коэффициентом единицы в коде FIT-III допускается намеренно, так как в противном случае некоторые расчёты по нему не удастся выполнить.

Огрубления и допущения - обычная практика для инженерных кодов, не претендующих на повышенную прецизионность. Поэтому арбитры ошибку porosity error не признали, как и обе предыдущие ощибки в коде FIT-III.

Ошибки перевода

А вот с ощибками в коде "FIT-III Post-processor" дела у японской стороны в арбитраже обстояли намного хуже.

Наличие ошибки gap velocity error было признано на ранних стадиях, ещё до арбитражного разбирательства.

Причём эта ошибка присутствовала в коде давно, более 20 лет. С этой ошибкой было спроектировано несколько парогенераторов для других станций - правда, до сих пор нет никаких свидетельств, что эта ошибка как-то сказалась на их поведении.

Ошибка gap velocity error появилась в коде вследствие "недопонимания", возникшего между лабораторией MHI в Такасаго и проектным отделом компании в Кобе.

Во время арбитража американцы настаивали на том, что ошибка есть результат плохой организации системы контроля качества в японской компании. Следует признать, что в данном случае они были правы, и арбитры с ними в этом согласились.

Американцы утверждали, что обнаружили ещё две ошибки в "FIT-III Post-processor" - Suzuta interfacial error и velocity direction error.

Щёлкните левой клавишей мыши для просмотра

Ошибка Suzuta interfacial error касается способа расчётов скорости воздушных пузырьков в двухфазных потоках.

Американские консультанты предприняли попытку доказать, что в "FIT-III Post-processor" для этих расчётов используется полуэмпирическая формула Судзуки, имеющая границы применимости (паросодержание в пределах 60-80%). Японцы от этих утверждений категорически открещивались и выиграли - арбитры сочли аргументы стороны заказчика неубедительными.

Последняя, девятая ощибка, разбиравшаяся в ходе арбитража - velocity direction error.

Расчёты двухфазного потока в парогенераторе нужно вести в трёхмерной геометрии. Конструкторы MHI так и поступили. Но, по мнению консультантов американской стороны, их трёхмерные расчёты содержали ошибки.

Разбирательство показало, что речь в данном случае идёт об ошибках перевода в документации.

"В отчёте MHI по оценке вибрации трубок скорость U(x) вдоль оси x определяется как "распределение скоростей потока, ортогональных оси трубки в направлении оси трубки", - отмечали американские эксперты.

"Мы интерпретируем фразу "в направлении оси трубки" как "в плоскости трубки". Если "Mitshubishi" имеет в виду, что используется скорость, ортогональная - то есть, перпендикулярная - оси трубки, включая компоненты in-plane и out-of-plane, то нет нужды добавлять фразу "в плоскости трубки".

Погрузившись вслед за оппонентами в дебри английской словесности, компаиия MHI призналась - фраза, как и вся цитата, была написана "японскими инженерами на английском языке".

С верностью трёхмерных расчётов разобрались. Вердикт арбитров - качество японской документации оставляет желать лучшего, но ошибки не было.

Подведение итогов

Та часть арбитражного разбирательства, которая была посвящена ошибкам в японских расчётах, завершилась для SCE более чем неудачно.

Из представленных арбитрам примерно 30 ошибок они выбрали для внимательного рассмотрения девять наиболее значимых. По итогам рассмотрения, в списке осталось только четыре ошибки, а пять других ошибками не признали.

Из четырёх признанных ошибок три пришлись на код SSPC и, по мнению арбитров, не имели отношения к течам на парогенераторах. Более того, арбитры в своём решении похвалили MHI за "чрезмерный консерватизм" в расчётах и за выбор сплава Инконель 690 для теплообменных трубок.

Из всех предполагаемых расчётных ошибок в деле сохранилась только gap velocity error. Но у американского заказчика были и другие претензии к проекту парогенераторов от MHI, помимо расчётных ошибок. Об этом - в следующей части статьи.

Продолжение следует.

Ключевые слова: Парогенераторы, США, АЭС Сан-Онофре, Статьи


Другие новости:

В мире статус действующего имеют 454 блока, статус строящегося 54 блока - PRIS

Учтён энергопуск "Тяньваня-4".

В ноябре автопоезд с транспортным шлюзом для блока №2 Белорусской АЭС начнёт движение по Новгородской области

Шлюз для первого блока был доставлен в 2018 году.

Франция может свернуть проект ASTRID - научный обозреватель

Даже уменьшенной мощности.

Герой дня

Анатолий Енин: НЗХК - основной поставщик топлива для ИР

Анатолий Енин: НЗХК - основной поставщик топлива для ИР

Из недавних наших разработок хотел бы выделить сборку ВВР-КН с низкообогащённым топливом для Казахстана. Это принципиально новая конструкция, в ней использованы твэлы с более тонкой стенкой, а количество твэлов увеличено до восьми.



ИНТЕРВЬЮ

Сергей Буймов

Сергей Буймов
Сегодня на НЗХК проводится глубокая модернизация и развитие мощностей. Такое решение было принято в 2010-2011 годах, когда мы поняли его необходимость как для нашего предприятия, так и для всей отрасли.


МНЕНИЕ

Владимир Рычин

Владимир Рычин
Строительство первого в Индии энергетического быстрого реактора с натриевым теплоносителем PFBR-500 перешагнуло очередную отметку. Но повода для радости индийским атомщикам это не доставило.


Поиск по сайту:


Rambler's Top100