AtomInfo.Ru


Тритий и ЖСР

AtomInfo.Ru, ОПУБЛИКОВАНО 26.08.2020

Комиссия по ядерному регулированию (NRC) США провела 20 августа 2020 года очередные публичные слушания, посвящённые различным аспектам лицензирования перспективных реакторов.

Одна из презентаций (авторы - Дэвид Грабаскас и др., Аргоннская национальная лаборатория) затронула проблему накопления, детектирования и контроля за тритием в жидкосолевых реакторах.

Источники и опасность

Тритий - радиоактивный изотоп водорода с периодом полураспада 12,3 лет. Он встречается в природе, где его источником служит взаимодействие космических лучей с атмосферой. Кроме того, тритий образуется в результате ядерных испытаний и работы ядерных реакторов.

Тритий является низкоэнергетическим бета-эмиттером (максимальная энергия составляет порядка 18 кэВ). Его биологическая опасность связана, в основном, с внутренним облучением человека, так как энергии бета-частиц, образующихся при распаде трития, недостаточно для преодоления слоёв кожи.

Изотоп встречается в природе в различных химических формах. В виде газа HT или T2 тритий попадает в организм при вдохе, но быстро покидает его при выдохе.

В виде воды HTO тритий удаляется из организма в соответствии с биологическим полупериодом вывода воды (10 суток). А вот будучи в форме органически связанного трития (OBT), тритий ведёт себя в организме подобно углероду, и его биологический полупериод достигает 40 суток.

Пути попадания трития в организм, иллюстрация CNSC.
Щёлкните левой клавишей мыши для просмотра.

Литий и бериллий

В ядерных реакторах тритий образуется в результате тройного деления (ядро раскалывается на три осколка, а не на два). Вероятность такого события - приблизительно 1 на 10 тысяч реакций деления. В легководных реакторах тритий в основном накапливается в топливе.

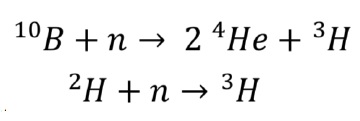
Другие реакции, ведущие к образования трития, таковы. При захвате нейтрона на изотопе 10B может пройти реакция с выходом двух альфа-частиц и ядра трития. В тяжеловодных реакторах дополнительным источником трития служит захват нейтрона ядром дейтерия.

Жидкосолевые реакторы отличаются от действующих легко- и тяжеловодных установок выбором теплоносителя и рабочих тел. Это приводит к тому, что в ЖСР появятся новые источники образования трития - литий и бериллий.

Соли, предлагаемые для проектов ЖСР.
Щёлкните левой клавишей мыши для просмотра.

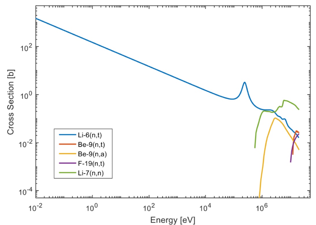
Тритий может нарабатываться в результате захватов нейтронов на ядрах шестого и седьмого изотопов лития. У изотопа бериллий-9 есть реакция (n,T), а также реакция с расколом ядра на изотопы 4He и 6He, причём последний распадается с периодом менее секунды и переходит в литий-6, на котором, как уже сказано, может идти реакция с образованием трития.

Реакции на литии и бериллии, приводящие к образованию трития.
Щёлкните левой клавишей мыши для просмотра.

Природный литий состоит из 92,4% лития-7 и 7,6% лития-6. Скорость образования трития из 7Li меньше, чем из 6Li, поэтому для ЖСР целесообразно использовать обогащённый по седьмому изотопу литий. Типичное обогащение по 7Li составляет 99,995%, дальнейшая очистка от шестого изотопа может оказаться непосильно дорогой.

Если в соли содержатся и литий, и бериллий, то изотоп литий-6 будет уничтожаться за счёт взаимодействия с нейтронами, а также образовываться из бериллия. Если в соли есть только бериллий, то в ней сначала будет происходить накопление лития-6, но в дальнейшем концентрация лития-6 придёт к равновесному значению.

Сечения реакций с образованием трития.
Щёлкните левой клавишей мыши для просмотра.

Скорость наработки трития, Ки/(ГВт×сут), в жидкосолевом реакторе PB-FHR
Щёлкните левой клавишей мыши для просмотра.

В следующей таблице приводятся оценки для накопления трития (Ки/ГВт(э)/год) в легко- и тяжеловодных реакторах, а также в двух проектах жидкосолевых реакторов - MSBR и PB-FHR.

Реактор MSBR - мощность 1000 МВт(э), соль FLiBe. Концепция рассматривалась в 70-ых годах в Окриджской нацлаборатории на базе опыта, полученного при эксплуатации исследовательского реактора MSRE.

Реактор PB-FHR - твёрдое шаровое топливо, высокотемпературный, теплоноситель FLiBe. Проект был предложен калифорнийским университетом в Беркли и служит основой для многих проектов ЖСР на фторидах.

Из таблицы следует, что жидкосолевые реакторы с литием и/или бериллием будут накапливать тритий в количествах, значительно превосходящих объёмы производства трития в реакторах с легководным охлаждением. Также следует отметить, что этот тритий будет производиться в соли, а не в защищённой оболочкой топливной матрице.

Производство трития, Ки/ГВт(э)/год.
Щёлкните левой клавишей мыши для просмотра.

Химические формы

Образующийся в ЖСР тритий присутствует в соли в различных химических формах. Особое внимание следует обратить на фторид трития TF и на молекулярные соединения HT и T2.

Химические формы трития в соли.
Щёлкните левой клавишей мыши для просмотра.

Фторид трития - наиболее вероятная форма присутствия трития в соли после его образования в реакциях на литии-6. У неё низкая проницаемость сквозь конструкционные материалы. Но в то же время фторид трития - мощный окислитель, несущий основную ответственность за коррозию в ЖСР.

В отличие от легководных реакторов, в ЖСР продукты коррозии растворяются в теплоносителе, освобождая окислителям путь к более глубоким слоям металла. Поэтому в ЖСР необходимо предпринимать меры по восстановлению TF до того момента, когда он сможет провзаимодействовать с конструкционными материалами.

Для ЖСР разработаны различные варианты окислительно-восстановительного контроля, но все они в конечном итоге восстанавливают TF до молекулярного HT/T2.

Молекулярный HT/T2 при рабочих температурах ЖСР обладает высокой проницаемостью через конструкционные материалы. Тем самым, повышается вероятность выхода трития из реакторной установки. Таким образом, борьба с коррозией в ЖСР на фторидах чревата увеличением выбросов трития.

Барьеры

Опыт, полученный на исследовательском реакторе MSRE, продемонстрировал высокую способность графитовой активной зоны удерживать тритий. Большая удельная поверхность графита обеспечивает наличие множества участков для "приклеивания" трития.

Известно, что тритий может высвободиться из графита при высоких температурах, превышающих температуры, характерные для нормальной эксплуатации.

На способность графита удерживать тритий влияют различные факторы, такие как его форма и история облучения. При прочих равных, реакторный графит удерживает тритий хуже, чем активированные формы углерода, так как реакторный графит требует отжига для обеспечения его стабильности в активной зоне.

Барьеры в PB-FHR.
Щёлкните левой клавишей мыши для просмотра.

Барьеры в MSR.
Щёлкните левой клавишей мыши для просмотра.

Барьеры в контурах ЖСР.
Щёлкните левой клавишей мыши для просмотра.

Управление

Один из способов управления тритием в жидкосолевых реакторах - использование покрытий с низкой проницаемостью для водорода (трития).

Сложность заключается в том, что большинство известных антитритиевых покрытий не совместимы с жидкими солями. В частности, это относится к оксидным и алюминиевым покрытиям.

Не исключено, что конструкторам придётся размещать антитритиевые покрытия (или барьеры) в местах, где нет физического контакта с жидкими солями.

Вариант размещения антитритиевого барьера.
Щёлкните левой клавишей мыши для просмотра.

Ещё одно конструкторское решение, способное помочь удалению трития таково. В реакторной установке возможно организовать участки для выхода трития путём применения комбинации материалов с высокой и низкой проницаемостью.

Для удаления трития возможно организовать контур, заполненный газом при низком давлении (см. левую часть рисунка ниже - газ выносит тритий, попадающий в газовый контур через материал с высокой проницаемостью). Другой вариант - интегрировать систему удаления трития в двухстенный теплообменник (см. правую часть рисунка ниже).

Варианты организации потока трития.
Щёлкните левой клавишей мыши для просмотра.

Следующий возможный метод - барботаж. Пропускание инертного газа (например, гелия) через соль будет способствовать движению трития из соли в специально организованные газовые объёмы. Конкретные реализации будут зависеть от площади контакта соли и газового объёма.

Барботаж.
Щёлкните левой клавишей мыши для просмотра.

Наконец, возможно использование адсорберов. Схема одной из адсорбирующих установок приводится на рисунке ниже.

В качестве адсорбирующего материала можно использовать, например, сферы из активированного угля. По мере насыщения сферы извлекаются и либо направляются на хранение, либо подвергаются нагреву для высвобождения трития, который в дальнейшем утилизируется тем или иным образом.

Адсорбер.
Щёлкните левой клавишей мыши для просмотра.

Мониторинг концентраций трития в жидкой соли осложнён эффектами самоблокировки низкоэнергетического бета-излучения при распаде трития. По этой причине, более целесообразным может быть определение концентраций трития во всей установке, исходя из данных, получаемых при измерениях в системах удаления трития.

Возможны также и альтернативные подходы - например, применение метода оптической спектроскопии.

Отдельный вопрос - выбор метода хранения удалённого из реакторной установки трития.

Для трития, нарабатываемого в CANDU, принято хранение в виде металлического гидрида (тритида). Такие металлы как титан, взаимодействуя с водородом и тритием, формируют металлические гидриды, в которых могут удерживать значительные объёмы трития.

Металлические гидриды стабильны при комнатных температуре и давлении, но процесс удержания трития обратимый - тритий может выходить из гидридов при температурах свыше 500°C.

Рассматриваются и другие методы хранения трития - например, в маловодном цементе.

Опыт MSRE

На рисунке ниже приводятся основные данные по исследовательскому реактору MSRE. В таблице ниже сведены результаты расчётного анализа выхода трития в данном реакторе.

Реактор MSRE.
Щёлкните левой клавишей мыши для просмотра.

Оценки по наработке трития в реакторе MSRE.
Щёлкните левой клавишей мыши для просмотра.

Ключевые слова: Тритий, Жидкосолевые реакторы, Статьи


Другие новости:

На Ленинградской АЭС внедрена технология дожигания топлива с остановленных энергоблоков

Позволит сэкономить около 1000 свежих ТВС.

Китай отказался от сотрудничества с "TerraPower"

Два СП закрыты.

Глава Росатома Лихачёв за 2019 год задекларировал 74,5 млн рублей дохода

Это следует из материалов, опубликованных на сайте госкорпорации.

Герой дня

Аврора - первый аудит

Аврора - первый аудит

В общем и целом, на данный момент представляется, что блокирующие факторы для успешного завершения лицензионного процесса отсутствуют. Что, конечно, не означает, что таковые факторы не могут обнаружиться в дальнейшем.



ИНТЕРВЬЮ

Алексей Слободчиков

Алексей Слободчиков
Естественно, до бесконечности продлевать работу реакторов нельзя. Мы не видим эксплуатацию РБМК-1000 за пределами 50 лет, но в интервале 4-5 лет свыше 45 лет работа блоков возможна.


МНЕНИЕ

Росатом

Росатом
20 августа 2020 года в Москве возле здания госкорпорации "Росатом" на улице Большая Ордынка был торжественно открыт монумент легендарному министру среднего машиностроения Ефиму Павловичу Славскому.


Поиск по сайту: