AtomInfo.Ru


Утечка труднолетучих нуклидов при аварии на АЭС Фукусима-1

Николай Вениаминов, доктор технических наук, ОПУБЛИКОВАНО 01.10.2014


С любезного разрешения автора, мы публикуем материал в продолжении темы об обнаружении тория в аэрозолях, отобранных после аварии на АЭС "Фукусима-1".

Полное наименование статьи: Н.Н.Вениаминов "Утечка труднолетучих нуклидов из реактора при аварии на АЭС "Фукусима-1" по данным масс-спектрометрии вторичных ионов".

Первая публикация статьи вышла в журнале "Вестник НЯЦ РК", выпуск 2(58), июнь 2014, сс.54-61.

Договором о всеобъемлющем запрещении ядерных испытаний (ДВЗЯИ) предусмотрено создание международной системы мониторинга (МСМ) с использованием четырёх методов контроля: сейсмологического, радионуклидного, гидроакустического и инфразвукового.

Российский сегмент МСМ представлен станциями наблюдения, функционирующими под управлением Службы специального контроля (ССК) Минобороны России [1].

В Договоре конкретно поименованы радионуклидные станции в Кирове, Норильске, Пеледуе, Билибино, Уссурийске, Залесово, Петропавловске-Камчатском и Дубне.

Радиационный контроль воздушной среды включает отбор проб аэрозолей на специальный фильтр-материал, брикетирование и анализ брикетов методом гамма-спектрометрии высокого разрешения непосредственно на станции.

В МСМ предусмотрен именно этот метод, потому что он не требует трудоёмкой пробоподготовки, отличается простотой выполнения измерений и позволяет оперативно анализировать пробы в ежедневном режиме их отбора. Производительность фильтровальной установки известна, поэтому легко рассчитывать объёмные концентрации изотопов в атмосфере.

Полученные результаты (в Бк/м3) передаются в официальный банк данных МСМ, а исследованные пробы поступают на хранение в Вену в международный центр данных, откуда могут быть официально затребованы странами-участницами ДВЗЯИ для более детального исследования в национальных лабораториях.

Имеется возможность, которая использована в данном случае, исследовать те аэрозольные пробы, которые специалисты ССК параллельно отбирают в тех же географических пунктах в качестве образцов-свидетелей.

Для отбора используется отечественный фильтр-материал ФПА (фильтр Петрянова ацетил-целлюлозный), который можно подвергать озолению в муфельной печи (примерно 600°C) для получения компактных образцов, анализируемых как с помощью торцевых гамма-детекторов, так и с использованием более чувствительных детекторов типа "колодец".

В представленной статье объектами исследования являются зольные остатки проб.

Авария на АЭС "Фукусима-1" произошла 11 марта 2011 года, а 17 марта радиоактивное облако достигло Петропавловска-Камчатского.

По данным гамма-спектрометрии, аэрозольная проба содержала, с одной стороны, летучие изотопы и те нуклиды, которые имеют летучих предшественников в изобарных цепочках распада [2]: 131I, 132I, 133I, 137Cs, 140La.

Для их утечки в атмосферу не обязательно масштабное разрушение реактора, они могут покидать активную зону и по микротрещинам в конструкции.

Но были найдены и те нуклиды, которые летучих предшественников не имеют, а также продукты активации (выделено жирным шрифтом): 24Na, 99mTc, 110mAg, 129Te, 129mTe, 132Te, 134Cs, 136Cs.

Если отношение активностей 134Cs и 137Cs больше 0,01, то принято делать вывод о том, что радиоактивность появилась не в результате ядерного взрыва, когда нет времени для накопления 133Cs (из него образуется 134Cs), а имеет "реакторное" происхождение; в пробе этот параметр достигал значения порядка 0,7.

Закономерен вопрос, сопровождалась ли авария выбросом твёрдого вещества, или радиоизотопы второй группы попали в окружающую среду по тем же каналам утечки, что и летучие продукты?

Теоретически такое возможно в случае расплавления топливных сборок, учитывая физико-химические свойства циркония, идущего на изготовление оболочек твэлов, и окислов перечисленных элементов [3], (Табл.1).

Таблица 1. Содержание нуклидов в облучённом ядерном топливе
и физико-химические свойства элементов и их окислов.
Щёлкните левой клавишей мыши для просмотра.

Для ответа на поставленный вопрос нужно экспериментально установить характер распределения примесей в частицах аэрозоля.

В первом случае (выброс твёрдого вещества) они должны присутствовать в объёме частиц (первичные аэрозоли), во втором случае (вынос продукта с газовой фазой) - на их поверхности (вторичные аэрозоли).

Методом валового анализа разрешить дилемму невозможно, для этой цели идеально подходит масс-спектрометрия вторичных ионов (ВИМС), основанная на послойном ионном распылении поверхности твёрдого тела.

Варьируя скорость эрозии, можно изучать элементный состав слоев, отличающихся глубиной залегания, в том числе, анализировать внешний монослой.

Трассером, несомненно, должен служить изотоп 238U, который по массе является основой ядерного топлива энергетических реакторов. В расплаве его на несколько порядков больше, чем любого из перечисленных радионуклидов [4], а сам диоксид урана тоже достаточно летуч. В случае реализации первого сценария в аэрозоле обязательно должны присутствовать частицы с его высокой объёмной концентрацией.

Всего методом ВИМС исследовано более двух десятков проб, отобранных в российских пунктах наблюдения до и после аварии, но в статье представлены наиболее эффектные результаты по двум пробам из Петропавловска-Камчатского с датами отбора 17.03.11 (проба № 1) и 21.02.11 (проба № 2).

Для приготовления препаратов небольшая часть зольного остатка помещалась в пробирку с ацетоном, а затем взвесь частиц наносилась по каплям на графитовую подложку диаметром 10 мм, приклеенную серебросодержащим составом к стандартному держателю образцов установки "Микролаб". Связующее вещество не добавлялось, частицы и без него хорошо держались на поверхности подложки после испарения ацетона.

Процедура повторялась до тех пор, пока на графите не образовывались видимые невооружённым глазом скопления частиц в виде белёсых пятен (зольный остаток не содержит органических веществ, присутствие которых могло бы привести к зарядке поверхности под ионным пучком, поэтому эффективное стекание заряда на проводящую подложку гарантировано даже в том случае, если частицы расположены вплотную друг к другу).

Измерения выполнены на установке "Микролаб" ("VG Scientific", Великобритания), которая ранее использовалась для определения изотопного состава урана в модельных частицах его оксидов [5], в частицах реальных проб с предприятий ядерного топливного цикла [6-10] и в массивных образцах из материала сердечника бронебойного снаряда, применённого НАТО в Югославии [11].

Прибор оснащён галлиевой жидкометаллической пушкой (энергия ионов до 10 кэВ), аргоновой пушкой (5 кэВ) и квадрупольным масс-спектрометром с пропорциональным разрешением по всей шкале масс от 1 до 800 а.е.м (атомная единица массы).

Детектором вторичных ионов служит вторичный электронный умножитель канального типа.

Детальное описание технических возможностей прибора дано в [5, 12]. Схема эксперимента показана на Рис.1.

Рис.1. Схема установки "Микролаб", работающей в режиме ионного микрозонда.
Щёлкните левой клавишей мыши для просмотра.

Анализируемая поверхность сканируется пучком первичных ионов синхронно с лучом кинескопа, яркость которого модулируется потоком вторичных электронов, выбиваемых из образца. В результате на экране монитора формируется изображение распыляемого участка поверхности.

Размер растра первичных ионов может быть дискретно изменён в соответствии с номиналами увеличения 2х, 5х, 10х и т.д., вплоть до 500х, а ток пучка можно варьировать в пределах от долей наноампера до 150-200 нА для галлиевой пушки и до примерно 500 нА для аргоновой пушки.

Таким образом, можно задавать скорость травления образца в очень широких пределах, включая так называемый статический режим, когда за всё время эксперимента эрозии подвергается только поверхностный монослой.

Для поиска индивидуальных частиц, содержащих уран, может быть использована только галлиевая жидкометаллическая пушка, позволяющая формировать хорошо сфокусированные ионные пучки, обеспечивающие высокое (порядка 1 мкм) латеральное разрешение.

Масс-спектрометр настраивается на массу 254, а выход вторичных ионов UO+ контролируется по стрелочному прибору с пределом шкалы от 10 имп/с до 3×106 имп/с.

Ток первичных ионов, приходящийся на отдельную частицу, пропорционален доле площади, занимаемой ею на всём облучаемом участке поверхности, поэтому чем меньше растр, "накрывающий" частицу, тем выше скорость счёта вторичных ионов.

Перемещая растр по поверхности и последовательно сжимая его, можно точно локализовать место расположения искомого объекта, который можно и не увидеть на экране монитора, если он слишком мал.

После того, как частица найдена, производится её прицельное распыление с максимально возможным увеличением, и в это время в режиме быстрых (10 с) повторяющихся сканов в диапазоне 230-240 а.е.м. формируется масс-спектр, по которому рассчитывается изотопное отношение 235U/238U [6].

Поиск частиц с ураном с помощью описанной методики не дал результатов ни для одной пробы - на подложке не удалось локализовать такие места, откуда выход вторичных ионов с массой 254 был бы более высоким по сравнению с соседними участками, либо вообще значимым.

Следовательно, в пробе 1 не было частиц, образовавшихся непосредственно из расплава.

Такая категоричность вывода основана на многолетнем опыте анализа проб с предприятий ядерного топливного цикла, когда удавалось, например, не только идентифицировать субмикронные объекты, но даже оценивать их изотопный состав.

Положительный результат для пробы 1 достигался только в том случае, если поверхностный слой препарата распылялся под воздействием широкого и интенсивного пучка первичных ионов.

Этот способ можно рассматривать как некий аналог валового анализа, но не совокупного объёма частиц, а их поверхности.

На Рис.2,3 приведены масс-спектры, полученные в тех диапазонах масс, где можно ожидать появление вторичных ионов 238U+ и 238UO+ (над пиками указаны их площади, выраженные в импульсах).

Рис.2. Проба 1.
Первичные ионы Ga+ с энергией 8 кэВ; диапазон масс 230-240.
Ток пучка 200 нА; площадь растра 0,55 мм2; плотность тока на образце 36 мкА/см2;
скорость травления поверхности порядка 0,2 нм/с;
55 развёрток масс-спектра продолжительностью 10 с;
толщина распылённого слоя при неподвижном растре порядка 110 нм.
Щёлкните левой клавишей мыши для просмотра.

Рис.3. Проба 1.
Первичные ионы Ga+ с энергией 8 кэВ; диапазон масс 248-258.
Ток пучка 20 нА, площадь растра 0,14 мм2; плотность тока на образце 14 мкА/см2;
скорость травления поверхности порядка 0,08 нм/с;
31 развёртка масс-спектра;
толщина распылённого слоя при неподвижном растре порядка 25 нм.
Щёлкните левой клавишей мыши для просмотра.

Как следует из Рис.2,3, идентификация изотопов урана и плутония с нечётной массой невозможна из-за эмиссии кластеров BaGaO2+, Ga3C2+, Na5Cl4+ [6], BаGaO3+, Ga3C2О+ и Na4Cl3Ca+.

Но в области чётных масс картина другая: для 232-го, 238-го, 248-го и 254-го пиков наблюдается значимое превышение над фоном.

Одна развёртка масс-спектра (скан) длится 10 с, а скорость распыления мишени составляет десятые доли нанометра в секунду [12], поэтому в ходе эксперимента подложка, находящаяся под воздействием ионного пучка, непрерывно перемещалась, чтобы захватывались всё новые участки её поверхности, не подвергавшиеся эрозии, и тем самым имитировался статический режим распыления.

Без такой технологии самые первые развёртки масс-спектра позволяют регистрировать группы импульсов, отвечающих именно этим массам, но полезный сигнал падает уже при записи второго скана, а по мере дальнейшего накопления масс-спектра его возвышение над фоном становится все менее заметным, а затем исчезает.

Всё указывает на то, что атомы регистрируемых изотопов буквально "лежат" на поверхности частиц.

В этом случае более эффективно применение аргоновой пушки, позволяющей формировать такие же интенсивные, но на два порядка менее плотные ионные пучки, обеспечивающие режим распыления, максимально приближающийся к статическому (перед каждым новым экспериментом препарат готовился заново).

На Рис.4,5 приведены масс-спектры пробы 1, полученные с использованием аргоновой пушки.

Рис.4. Проба 1.
Первичные ионы Ar+ с энергией 5 кэВ; диапазон масс 230-240.
Ток пучка 400 нА; площадь облучаемого участка поверхности 𝜋/4 см2;
плотность тока на образце порядка 0,5 мкА/см2;
скорость травления поверхности порядка 10-3 нм/с;
17 развёрток масс-спектра;
толщина распылённого слоя порядка 0,2 нм.
Щёлкните левой клавишей мыши для просмотра.

Рис.5. Проба 1.
Первичные ионы Ar+ с энергией 5 кэВ; диапазон масс 247-257.
Ток пучка 480 нА; площадь облучаемого участка поверхности 𝜋/4 см2;
плотность тока на образце порядка 0,5 мкА/см2;
скорость травления поверхности порядка 10-3 нм/с;
30 развёрток масс-спектра;
толщина распылённого слоя порядка 0,3 нм.
Щёлкните левой клавишей мыши для просмотра.

Аргон, в отличие от галлия, не образует кластерных ионов, и пики идентифицируются однозначно.

Для сравнения на Рис.6 показан масс-спектр пробы 2, в котором можно идентифицировать только два первых пика квинтета Na5Cl4+ из серии кластеров NanCln-1+, характерных для проб, отбираемых вблизи морских акваторий.

Рис.6. Проба 2.
Первичные ионы Ar+ с энергией 5 кэВ; диапазон масс 247-257.
Ток пучка 410 нА; площадь облучаемого участка поверхности 𝜋/4 см2;
плотность тока на образце порядка 0,5 мкА/см2;
скорость травления поверхности порядка 10-3 нм/с;
31 развёртка масс-спектра;
толщина распылённого слоя порядка 0,3 нм.
Щёлкните левой клавишей мыши для просмотра.

Отношение интенсивностей 232 и 238 пиков во всех масс-спектрах иное, чем для масс 248 и 254, следовательно, изотоп массой 232 является не ураном, а торием (после идентификации ториевых пиков в масс-спектрах повторена такая же, как для урана, процедура поиска частиц c торием по массе 248, но она тоже не дала результатов).

Аналогичное характерное соотношение выходов вторичных атомарных и оксидных ионов данных элементов получено в [11], где методом ВИМС на поверхности сердечника бронебойного снаряда из обеднённого урана было обнаружено ториевое покрытие, не выявленное при валовом химическом анализе.

Решающим следует признать эксперимент, проведённый в апреле 2013 года, когда удалось измерить профили концентраций урана и тория в нанометровом диапазоне толщин распыляемого слоя (Рис.7, 8).

Рис.7. Проба 1.
Зависимость выхода вторичных ионов UO+ от времени при распылении
поверхности препарата пробы ионами Ga+ со скоростью порядка 0,2 нм/c.
Щёлкните левой клавишей мыши для просмотра.

Рис.8. Проба 1.
Зависимость выхода вторичных ионов ThO+ от времени при распылении
поверхности препарата пробы ионами Ga+ со скоростью порядка 0,2 нм/c.
Щёлкните левой клавишей мыши для просмотра.

Графики повторяются до деталей, в обоих случаях примерно через 15 с, когда толщина стравленного слоя составляет всего 3 нм (!), сигнал падает до фонового уровня.

Даже в случае идеально плоской поверхности имеется множество причин, приводящих к "затягиванию" профилей [13], поэтому результат тем более убедителен, что получен для поверхности с развитым рельефом, у которого перепады высот многократно превышают это значение.

Употреблённое выше выражение "атомы… буквально лежат на поверхности частиц" не является метафорой - речь действительно идёт о поверхностном монослое.

Таким образом, получено прямое доказательство того, что и уран, и торий имеют "реакторное" происхождение: они адсорбированы из газовой фазы, где могли оказаться только в результате расплавления топливных сборок, испарения и последующего выноса в атмосферу под большим давлением вместе с летучими продуктами деления.

В природе таких источников "напыления" урана и тория не существует.

Вторым признаком реакторного происхождения нуклидов является их концентрация на поверхности частиц. Для её оценки использовалась зависимость из [14]:

Здесь:

      ik - скорость счёта однозарядных положительных ионов;

      iоk - ток первичного пучка в эксперименте по измерению ik;

      ck - атомная доля изотопа;

      βk+ - коэффициент ионизации данного элемента (доля распылённых атомов, покидающих поверхность в виде однозарядных положительных ионов).

Если ток первичного пучка измеряется в наноамперах, то Соnst = 6,24×109×s×f, где s - коэффициент распыления (число распылённых атомов мишени, приходящихся на один падающий ион), f - коэффициент пропускания (доля вторичных ионов, достигающих детектора).

Количественный анализ методом ВИМС базируется на использовании стандартных образцов состава. Если химическое состояние элементов в них такое же, как в анализируемом объекте, то можно пренебречь матричными эффектами и считать коэффициенты ионизации неизменными.

Зная концентрацию изотопа в стандартном образце cm, рассчитывают концентрацию примеси по формуле:

где выражение в квадратных скобках - отношение выходов вторичных ионов на единицу тока первичного пучка в исследуемом (числитель) и стандартном (знаменатель) образцах.

В качестве стандартных образцов состава были использованы металлические уран, торий и кремний (главный элемент матрицы), покрытые плёнками их окислов.

Конечным результатом исследований явились данные:

Ниже в порядке снижения среднего процентного содержания в земной коре перечислены 11 элементов, составляющих, по данным [3], более 99% её массы (без учёта водорода гидросферы); остальные присутствуют в концентрациях на уровне сотых долей %(масс.) и менее: торий и уран, соответственно - 8×10-4 и 3×10-4 %(масс.).

В скобках приведены атомные концентрации, рассчитанные из массовых концентраций и нормированные на единицу (атомные доли).

Из этих данных видно, что содержание кремния в пробе примерно такое же, как среднее в земной коре, а урана и тория в распылённом поверхностном слое, соответственно - в 56 и 220 раз больше.

Далее, измеренные концентрации являются средними для великого множества частиц, из которых большинство до манипуляций с пробой было "чистым". Следовательно, те частицы, которые имели отношение к аварии, "вымазаны" ураном и торием ещё более основательно.

Есть ещё и третий, косвенный признак того, что изотопы имеют "реакторное" происхождение: они найдены только в пробах, отобранных (в нескольких пунктах наблюдения) после аварии и содержавших характерные радионуклиды, прежде всего, 134Cs.

С учётом полученных данных основные выводы в части диагностики аварии сводятся к следующему.

1. Топливные сборки расплавились, о чём свидетельствует присутствие труднолетучих радионуклидов на поверхности частиц аэрозоля.

2. Конструкция аварийного реактора не претерпела масштабных разрушений, о чём свидетельствует отсутствие частиц, появившихся в результате выброса вещества расплава в твёрдом состоянии.

3. Аварию на АЭС "Фукусима-1", квалифицируемую по факту расплавления топливных сборок как "запроектную", следует по механизму утечки радионуклидов во внешнюю среду отнести к разряду "проектных", поскольку выброса первичных аэрозолей не было.

Здесь просматривается аналогия с камуфлетными подземными ядерными взрывами, когда каналы для напорного истечения первичных аэрозолей на дневную поверхность тоже не образуются.

4. Утечка облучённого топлива была незначительной, потому что произошла только через газовую фазу, что и предопределило ограниченный набор радионуклидов, зарегистрированных в атмосфере - отсутствие изотопов, для испарения которых развившиеся температуры были недостаточными (например, 95Zr).

5. Впервые на практике совокупность методик на базе ВИМС использована в качестве дистанционного способа оценки состояния активной зоны и барьеров защиты реактора после аварии.

Атомная концентрация тория на поверхности частиц аэрозоля выше, и это бесспорный факт. Дело в том, что потенциал ионизации тория (6,95 эВ), определяющий вероятность образования его вторичных ионов, на целых 0,87 эВ выше потенциала ионизации урана (6,08 эВ), поэтому отношение коэффициентов βU+Th+ в формуле (1) должно быть гарантированно много больше единицы.

В рамках модели локального термодинамического равновесия [15] при разнице потенциалов ионизации в 0,87 эВ и эффективной электронной температуре 3000 К (kT = 0,26 эВ) [12] экспоненциальные члены в уравнении Саха-Эггерта для двух компонентов отличаются в 28 раз: ехр(0,87/0,26) = 28.

Если ориентироваться на эту цифру, то отношение концентраций тория и урана, вычисляемое по масс-спектру (Рис.2), составит (25/41)×28 = 17.

В 2013 году параметр βU+Th+ был определён экспериментально и оказался равным 17,3±0,7, что соответствует отношению концентраций 10,5:1.

Уже не один десяток лет обсуждаются перспективы ядерного топливного цикла на основе тория и урана-233 [16], в котором делящийся изотоп воспроизводится в самом реакторе:

Реализация этой ресурсосберегающей технологии в широких масштабах весьма заманчива, поскольку мировые запасы тория в 2-3 раза больше урановых.

В таком цикле должно использоваться топливо, содержащее одновременно торий и все три изотопа урана в пропорциях, удовлетворяющих неравенству: (m233 + 0,6×m235)/m233+235+238 < 0,12 (m - масса).

Это ограничение признается в международном масштабе достаточным изотопным барьером против использования трёхкомпонентного ядерного материала в военных целях [17].

В случае аварии на АЭС "Фукусима-1" при утечке из реактора в газовой фазе оказалось на порядок больше тория, диоксид которого исключительно тугоплавок пл = 3200°С, Ткип = 4400°С), чем урана, диоксид которого испаряется без разложения при температурах свыше 1400°С (в производстве топлива для ядерных реакторов используют наиболее устойчивые окислы делящихся материалов, например, МОХ-топливо (mixed oxide) содержит смесь диоксидов урана и плутония; эта технология также относится к разряду ресурсосберегающих, развиваемых, в том числе, в Японии).

Этот феномен можно объяснить только тем, что торий оказался в расплаве не в виде окисла, как уран, а в виде другого химического соединения, ещё более летучего, чем UO2 (такими соединениями являются соли тория, например, ThCl4: Тпл = 765°C, Ткип = 922°C).

Это позволяет прийти к выводу: торий изначально не входил в состав реакторного топлива, что говорит о намерении облучать его отдельно, когда образующийся уран-233 можно извлекать химическими методами в чистом виде.

В задачах контроля ядерной деятельности по данным анализа тонкодисперсных продуктов (один из верификационных механизмов Договора о нераспространении ядерного оружия [18]) метод ВИМС с успехом использовался для изотопного анализа индивидуальных микрообъектов в динамическом режиме их распыления [6-10].

В настоящей работе в полной мере проявилось другое достоинство метода - возможность анализа тонких поверхностных слоёв ансамблей частиц в режиме распыления, приближающемся к статическому.

Чтобы ещё раз убедиться в правильности этого тезиса, оценим массовые концентрации урана и тория "реакторного" происхождения в пробе 1.

Предположим, что содержание основных элементов в ней такое же, как и среднее в земной коре, то есть соответствует вышеприведённому ряду (4).

Атомная доля урана в этом ряду (2,7×10-7) рассчитана по его массовой концентрации 3×10-4 %(масс.) - 3 г/т. Соответственно, атомной доле 1,5×10-5 отвечает концентрация 1,67×10-2 %(масс.) - 167 г/т, но эти цифры относится только к тем атомам, которые образуют поверхностный слой частиц.

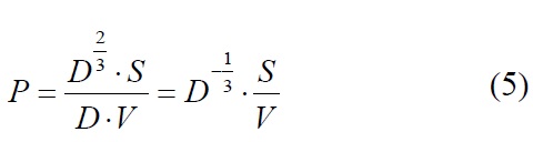
Его доля P в общей массе аэрозоля зависит от удельной поверхности аэрозоля (отношения полной поверхности частиц к их совокупному объёму S[см2]/V[см3]) и от средней атомной плотности частиц D[см-3]. На единице поверхности содержится D2/3 атомов, поэтому

Расчёт дроби S/V проще всего сделать для сферической частицы, имеющей такую же удельную поверхность, как аэрозоль в целом, радиус такого объекта rs = (r3)3/(r2)2, где r3 и r2 - среднекубический и среднеквадратичный радиусы [19].

Дисперсный состав пробы не определён, поэтому для расчёта rs воспользуемся опубликованными данными [20] для типичного атмосферного аэрозоля, отбираемого у поверхности земли, получим rs ≈ 0,65 мкм.

Примем D = 6×1022 см-3, это атомная плотность SiO2 (кремнезём, кварц), атомные плотности большинства других распространённых минералов выше, поэтому для величины Р получим оценку "сверху" - на поверхности частиц аэрозоля с такими характеристиками содержится не более 0,0012 атомов от их общего количества.

Искомая массовая концентрация реакторного урана в пробе составит 2,0×10-5% или 0,2 г/т, что примерно в 15 раз меньше, чем масса естественного урана в одной тонне пыли.

Такой же расчёт для тория даёт 2 г/т против 8 г/т для природного изотопа.

Приведённые оценки показывают, что никаким методом валового анализа было бы невозможно идентифицировать 238U и 232Th "реакторного" происхождения на фоне сопоставимых или даже больших количеств тех же природных изотопов, изначально присутствующих в объёме частиц.

Но эта задача эффективно решается методом ВИМС, даже с использованием прибора, введённого в эксплуатацию четверть века назад и обладающего весьма скромными характеристиками.

В настоящее время выпускается гораздо более совершенная аппаратура, среди которой особо выделяются магнитные масс-спектрометры серии IMS, выпускаемые фирмой "Cameca Instruments SA" (Франция).

Приборы IMS-1270 и более поздние модификации IMS-1280 и IMS-1280 HR (high resolution) специально предназначены для анализа микрочастиц и обладают исключительно высокой чувствительностью, латеральным разрешением и разрешением по массе.

На таком оборудовании можно было бы определить и фоновое содержание урана и тория в массе аэрозоля, и изотопный состав урана и плутония на поверхности частиц, а заодно выяснить, какие из них имели отношение к аварии, а какие нет.

Впервые результаты исследования аэрозольных проб методом ВИМС доложены на XV международной научной конференции "Физико-химические процессы при селекции атомов и молекул", проходившей 1-5 октября 2012 года в Звенигороде (Ершово).

Традиционно её организаторами выступили Троицкий институт инновационных и термоядерных исследований (ГНЦ РФ ТРИНИТИ) и НИЦ "Курчатовский институт".

В 2013 году материалы конференции опубликованы в журнале, который издаёт институт металлургии и материаловедения им. А.А.Байкова РАН [21].

Вторая, более поздняя публикация [22] датирована 2012 годом.

Благодарности

Автор выражает благодарности: С. Н. Калмыкову, заведующему кафедрой радиохимии МГУ им. М.В.Ломоносова, за предоставленный образец металлического тория и А.А.Сало, сотруднику 12 ЦНИИ Минобороны России, за расчёт морфологических характеристик аэрозоля.

Литература

1. Васильев, А.П. Дальневосточный дебют Службы контроля ядерных взрывов / А.П.Васильев [и др.] - М.: Полиграфсервис, 2010. - 163 с.

2. Гусев, Н.Г. Радиационные характеристики продуктов деления / Н.Г. Гусев [и др.] // Справочник. - М.: Атомиздат, 1974. - С. 28.

3. Краткая химическая энциклопедия. Т. 1 - Т. 5. - М.: Советская энциклопедия, 1961-1967.

4. Колобашкин, В.М. Радиационные характеристики облучённого ядерного топлива / В.М.Колобашкин, П.А. Ружанский, В.Д. Сидоренко // Справочник.- М.: Энергоатомиздат, 1983. - С. 173 185.

5. Вениаминов, Н.Н. Определение изотопного состава урана в микрочастицах методом масс-спектрометрии вторичных ионов / Н.Н.Вениаминов, О.Н.Колесников, В.А.Стебельков // Журн. аналит. химии, 1991. - Т. 46, вып. 9. - С. 1776 - 1781.

6. Вениаминов, Н.Н. Масс-спектрометрия вторичных ионов в исследовании частиц производственной пыли предприятий ядерного топливного цикла / Н.Н. Вениаминов // Журн. аналит. Химии, 2000. - Т. 55. № 3. - С. 294.

7. Вениаминов, Н.Н. К вопросу о методологии обнаружения незаявленной ядерной деятельности по обогащению урана электромагнитным методом (на примере Ирака) // Сборник докладов VIII Всероссийской (международной) научной конференции "Физико-химические процессы при селекции атомов и молекул". - М.: ЦНИИатоминформ, 2003. - С. 251 - 256.

8. Вениаминов, Н.Н. Масс-спектрометрия вторичных ионов как инструмент контроля ядерной деятельности. Уточнение банка данных МАГАТЭ 1991 г. по Ираку // В сб. Актуальные проблемы экологии и природопользования. - Вып. 5. Часть 1. - М.: Российский университет дружбы народов, 2003. - С. 41 - 57.

9. Вениаминов Н.Н. Новые данные по изотопному составу урана на фрагментах разрушенного масс-сепаратора электромагнитного типа. // Сборник докладов IX Всероссийской (международной) научной конференции "Физико-химические процессы при селекции атомов и молекул". -М.: ЦНИИатоминформ. 2004. С. 162 - 165.

10. Вениаминов, Н.Н. К вопросу о производстве высокообогащённого урана в Ираке // Российский химический журнал, 2007. - Т. LI. № 1. - С. 158 - 164.

11. Вениаминов, Н.Н. Исследование изотопного и элементного состава сердечника бронебойного снаряда / Н.Н.Вениаминов, С.А.Ховавко, С.А.Воронов, С.Л.Орлов, Л.А.Азаров, С.Ю.Архипов, Т.Н.Евдокимов // Журн. аналит. Химии, 2003. - Т. 58. №4. - С. 401 - 407.

12. Вениаминов, Н.Н. Измерение профилей концентраций Sm и Yb в кремнии методом масс-спектрометрии вторичных ионов с использованием галлиевой жидкометаллической пушки / Н.Н.Вениаминов // Журн. аналит. химии, 1991. - Т.46, вып. 9. - С. 1782 - 1786.

13. Клячко, Д.В. Вопросы количественного анализа микропримесей методом масс-спектрометрии вторичных ионов / Д.В.Клячко, В.В.Угаров // Поверхность. Физика, химия, механика, 1991. - №8. - С. 5 - 16.

14. Вернер, Г. Введение во вторично-ионную масс-спектрометрию //В кн. Электронная и ионная спектроскопия твёрдых тел. Под ред. Л. Фирмэнса, Дж. Вэнника и В. Декейсера. - М.: Мир, 1981. - С. 361.

15. Andersen, C.A., Hinthorne J.R. // Anal. Chem., 1973. - V. 45. № 8. - P. 1421.

16. Казанцев, Г.Н., Мурогов В.М., Раскач Ф.П. и др. Ядерный топливный цикл на основе тория и урана-233. - Обнинск:Физ-энерг. ин-т: ФЭИ - 2183. - 1991. - 48 с.

17. Advanced Fuel Cycle and Reactor Concepts. Report of INFCE Working Group 8. - Vienna: IAEA, 1980. Русский перевод: Перспективные концепции топливных циклов и реакторов. Отчёт 8-ой рабочей группы МОЯТЦ.- Вена: МАГАТЭ. 1980. - М.: ИАЭ им. И.В.Курчатова, 1980. - 208 с.

18. Donohue D. Strengthening IAEA Safeguards through Environmental Sampling and Analysis // Journal of Alloys and Compounds. 1998. Vol. 271 - 273. P. 11 - 18.

19. Фукс, Н.А. Механика аэрозолей. - М.: Изд-во АН СССР, 1955. - С. 25.

20. Кондратьев, К.Я., Москаленко Н.И., Поздняков Д.В. Атмосферный аэрозоль. - Ленинград: Гидрометеоиздат, 1983. - 224 с.

21. Вениаминов, Н.Н. Масс-спектрометрия вторичных ионов как инструмент контроля ядерной деятельности. Диагностика аварии на АЭС "Фукусима-1". // Перспективные материалы, специальный выпуск № 14, февраль 2013 г. - С. 123 - 127.

22. Вениаминов, Н.Н. Масс-спектрометрическое определение следов урана и тория в аэрозолях, отобранных на российской территории после аварии на японской АЭС "Фукусима-1" / Н.Н.Вениаминов, А.В.Смирнов, А.В.Березин, А.Ю. Тарасов // Российский химический журнал, 2012. - Т. LVI. № 5-6. - С. 87 - 95.

Ключевые слова: Япония, Торий, АЭС Фукусима Дайичи, Мнения, Статьи


Другие новости:

Кассета на "North Anna-2" пострадала от baffle jetting

Явление, почти искоренённое на блоках с PWR.

Вице-президент ТВЭЛ занял пост президента "Uranium One Holding N.V."

Василий Константинов приступил к работе.

Казахстан и Россия договорились о строительстве АЭС в Восточно-Казахстанской области

Внутригосударственные процедуры согласования документа завершатся до конца 2014 года.

Герой дня

Александр Тузов

Александр Тузов: установленный срок сооружения МБИР никто не отменял

Котлован - нет. Котлован - это уже работы основного периода строительства. Представители Ростехнадзора нам чётко разъяснили, что производство земляных работ возможно только после получения лицензии на сооружение, так что мы полностью соблюдаем букву закона.



ИНТЕРВЬЮ

Юрий Драгунов

Юрий Драгунов
Ваш институт - главный конструктор РБМК и патриот этого реактора. Беритесь не только за обоснования, но и за генподряд. Беритесь за всё и отвечайте за всю организацию работ.


МНЕНИЕ

Александр Бычков

Александр Бычков
В нашем департаменте образованы две новые секции. Два проекта, о которых мы много говорим - инфраструктура для стран-новичков и проект ИНПРО - переведены на уровень секций. В бюджете следующего двухлетия мы будем учитывать, что эти работы не только проектного характера, это стабильные работы, которые поддерживают многие страны.


Поиск по сайту:


Rambler's Top100