AtomInfo.Ru


Михаил Зизин: когда и как пересчитывать концентрации предшественников запаздывающих нейтронов в пространственно-временных реакторных расчётах

М.Н.Зизин, НИЦ КИ, г. Москва, ОПУБЛИКОВАНО 18.12.2017


С любезного разрешения автора, мы публикуем текст доклада "Когда и как пересчитывать концентрации предшественников запаздывающих нейтронов в пространственно-временных реакторных расчётах", с которым на конференции "Нейтроника-2017" выступил Михаил ЗИЗИН (Национальный исследовательский центр "Курчатовский институт").

Презентация доклада доступна по этой ссылке.

Аннотация

На основе серии вариантных расчётов теста BN600_IAEA_T даны рекомендации когда и как пересчитывать концентрации предшественников запаздывающих нейтронов в пространственно-временных реакторных расчётах.

Моделировалось движение органов регулирования; тест рекомендуется для тестирования решения собственно пространственно-временного многогруппового уравнения переноса.

Диффузионные расчёты проводились в 3D гексагональной геометриях с обработкой полученных результатов с помощью обращённого уравнения кинетики (ОРУК) в среде интеллектуальной программной системы ShIPR.

Помимо канонической формулы ОРУК реактивность оценивалась из варианта формулы ОРУК_C с прямым использованием концентраций предшественников запаздывающих нейтронов, которые рассчитываются в процессе решения пространственно-временного уравнения переноса.

Концентрации предшественников ЗН рекомендуется пересчитывать на каждом временном шаге в процессе 200-300 внешних итераций при решении пространственно-временного уравнения переноса, оставляя при этом на остальных внешних итерациях эти концентрации неизменными.

Наличие заметного пика на кривой реактивности на момент времени окончания возмущения говорит о неадекватности выбора некоторых параметров или методов расчёта при моделировании временного процесса.

Это может быть шаг по времени, способ и момент расчёта концентраций предшественников запаздывающих нейтронов и/или алгоритм реализации ОРУК.




Хорошие работы это вовсе не те,

где находишь ответы на свои вопросы,

а те, где находишь ответы на такие вопросы,

которых ты себе даже не ставил.

Глеб Смирнов

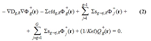
Постановка задачи сформулирована в названии доклада. Прежде чем переходить к более детальному обсуждению её сути, обратимся к формулам.

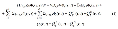
Для начала запишем нестационарное уравнение переноса нейтронов в групповом приближении в форме, включающей в себя параметры запаздывающих нейтронов (ЗН). Для простоты ограничимся диффузионным приближением и уберём зависимость кинетических параметров от нуклидов и зоны R.

Здесь:

- источник мгновенных нейтронов,

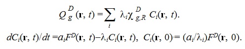
- источник ЗН, который может быть записан в интегральной или дифференциальной форме.

Интегральная форма источников ЗН:

Дифференциальная форма:

Для удобства введены дополнительные функционалы - скорости генерации мгновенных и ЗН:

Для стационарных задач из соответствующих функционалов убирается зависимость от времени. Стационарное диффузионное уравнение для ценности нейтронов:

Здесь и далее:

Индексы, их границы и параметры массивов:

D - запаздывающие нейтроны,

G - количество энергетических групп,

f - индекс при сечении деления,

i - номер группы ЗН,

j, k, g - номера энергетических групп,

P - мгновенные нейтроны,

r - координаты геометрической точки,

R - физическая зона,

t - момент времени.

Зависимость сечений от времени в записи этих уравнений для простоты опущена.

Макросечения размножения мгновенных нейтронов обычно отсутствуют в наборах констант, но при необходимости их можно вычислить как разность макросечений, включающих мгновенные и ЗН, и макросечений ЗН.

Помимо канонической формулы обращённого уравнения кинетики (ОРУК) можно реактивность оценивать из альтернативного варианта формулы ОРУК_C с прямым использованием концентраций предшественников ЗН Ci(r, t), которые всё равно рассчитываются в процессе решения пространственно-временного уравнения переноса.

Преимуществом такого подхода является тождественность приближений для учёта ЗН при решении уравнения переноса и ОРУК и исключение погрешностей, связанных с вычислением интеграла в классической формуле для ОРУК.

А к недостаткам надо отнести невозможность расчёта реактивности по показаниям ионизационных камер или их имитаторов.

Оба варианта формулы получаются, если умножить (1) на слева, (2) на справа, проинтегрировать по объёму, просуммировать по энергетическим группам и затем вычесть одно из другого.

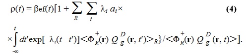
Опуская очевидные выкладки, получим формулу ОРУК_C:

и каноническую формулу ОРУК:

Здесь

Символом обозначено суммирование по группам g и интегрирование по пространству.

Здесь ρ(t) - реактивность, обычно трактуемая как мера отклонения от критичности в момент времени t.

Для простоты производной по времени при выводе формул (3) и (4) пренебрегаем (приближение мгновенного скачка). Однако её вклад в реактивность в ряде задач может быть существенным.

Реактивности ρ(t), вычисленные с помощью формулы (4), в таблицах обозначаются как рассчитанные с помощью функционала .

В тесте BN600_IAEA_T параметры вычислялись с усреднением по нуклидам и физическим зонам с использованием стационарных потоков без участия ценностей.

Принципиально важным является использование одинаковых приближений для расчёта кинетических параметров при решении уравнения переноса и ОРУК.

При расчёте переходных процессов возникает проблема, когда и как пересчитывать Ci(r, t).

"Как" означает выбор места их расчёта: до решения уравнения переноса, внутри программы, решающей это уравнение, или после решения уравнения переноса.

А "когда" относится к проблеме выбора, на какой внешней итерации остановить пересчёт Ci(r, t), если мы их пересчитываем в процессе внешних итераций.

При достаточно мелком шаге по времени и не слишком больших требованиях к точности расчёта изменений реактивности на это можно не обращать внимания и пересчитывать их перед расчётом потоков для каждого временного шага. Но если вы страдаете синдромом перфекционизма, то эту проблему как-то надо решать.

Основное требование - чтобы Ci(r, t), участвующие в нахождении потоков, были теми же, которые подставляются в альтернативную форму ОРУК_C (см. формулу (3)).

Именно поэтому концентрации предшественников ЗН надо рассчитывать либо перед расчётом потоков, либо в процессе внешних итераций. В последнем случае надо оставлять какую-то часть внешних итераций для расчёта потоков с неизменяемыми величинами Ci(r, t).

Пересчёт Ci(r, t) во внешних итерациях при решении уравнения переноса должен производиться в заранее заданном числе обязательных внешних итераций ITmin.

В этом случае при пересчете Ci(r, t) используется Δtout = Δt/ITmin. Здесь Δt - шаг по времени при моделировании пространственно-временного процесса.

Если заранее ITmin не определено, то значение временного шага Δtout в каждой внешней итерации определить невозможно. Перевычисление Ci(r, t) прекращается после заданного минимального числа внешних итераций. Это позволяет затем выходить из расчёта по достижению заданной точности.

Если принять ITmin = 1, то это будет соответствовать случаю, когда Ci(r, t) рассчитываются перед вычислением потоков для каждого временного шага.

К такому подходу удалось прийти не сразу. Один из предварительных алгоритмов был, когда Ci(r, t) рассчитывались в 500 из 700 внешних итерациях, а затем Ci(r, t) уточнялись с Δtadd = Δt - Δtout×ITmin.

Затем показалось, что будет точнее, если принять ITmin= ITmax, что соответствует пересчёту Ci(r, t) во всех внешних итерациях. Этот вариант некоторое время автор считал правильным, пока не убедился, что он не самый лучший.

Потом пришло осознание того, что в этом варианте процесс сходимости потоков во внешних итерациях реально не будет закончен из-за нелинейности задачи и нужно проводить некоторое число внешних итераций с неизменными
Ci(r, t).

К сожалению, заранее определить число обязательных внешних итераций ITmin невозможно.

Постфактум критерием разумного выбора значения ITmin может служить минимизация отклонений реактивности, рассчитанных с помощью ОРУК_C и ОРУК.

Реактивность, рассчитанная с помощью ОРУК_C, практически не зависит от величины ITmin, если, например, ITmin/IT < 0,8.

При малом числе итераций ITmin .

При большом числе итераций .

Но в любом случае с ростом t . С увеличением числа точек и/или уменьшением конечного значения ITmin должно увеличиваться.

Рассмотрим как всё это выглядит на примере расчётов теста BN600_IAEA_T.

На Рис.1 показана 60-градусная картограмма исходной стационарной модели [1, 2]. В пространственно-временном тесте BN600_IAEA_T используются полномасштабные модели и введено положение имитаторов ионизационных камер (см. Рис.2).

Рис.1.
Картограмма тестовой модели BN600_IAEA
(сектор 60°, симметрия сдвигом).
Щёлкните левой клавишей мыши для просмотра.

Рис.2.
2D модель BN600_IAEA_T
в гексагональной геометрии с имитаторами ИК.
Щёлкните левой клавишей мыши для просмотра.

Таблица 1.
BN600_IAEA_T. Составы и размеры ячеек ОР по высоте, сверху вниз.

Моделировалось падение со скоростью 1 м/с всей щётки органов регулирования (ScramRods, седьмой тип - SCR7) с застреванием стержня SCR11, а также его падение. Этот ОР ScramRod на Рис.2 выделен жёлтым цветом.

Расчёты проводились в среде интеллектуальной программной системы ShIPR [3] со 102 точками по высоте реактора (Табл. 1) в гексагональной модели.

Минимальное число внутренних итераций - 10, точность расчёта потоков во внешних итерациях 10-8. Использовалась константная система CONSYST Ver.0601 с константами БНАБ-93 [4].

Результаты расчётов приведены в Табл. 2-4 и на Рис.3-8. Знак минус в значениях реактивности в таблицах опущен.

Таблица 2

Таблица 3

Таблица 4

Рис.3. Щёлкните левой клавишей мыши для просмотра.

Рис.4. Щёлкните левой клавишей мыши для просмотра.

Рис.5. Щёлкните левой клавишей мыши для просмотра.

Рис.6. Щёлкните левой клавишей мыши для просмотра.

Рис.7. Щёлкните левой клавишей мыши для просмотра.

Рис.8. Щёлкните левой клавишей мыши для просмотра.

Выводы

1) Реактивности, рассчитанные с помощью альтернативного варианта формулы обращённого уравнения кинетики (ОРУК_C) с прямым использованием концентраций предшественников запаздывающих нейтронов, очень хорошо совпадают с реактивностями из прямых расчётов Kef как для малых, так и больших реактивностей.

Результаты ухудшаются только если концентрации ЗН пересчитываются в каждой внешней итерации (ITmax = ITmin = 700).

К недостаткам ОРУК_C надо отнести невозможность расчёта реактивности по показаниям ионизационных камер или их имитаторов.

2) Классический вариант ОРУК в текущей реализации оказался менее точным, чем альтернативный вариант ОРУК_C.

Результаты сближаются по мере уменьшения шага по времени. Это говорит о том, что возможной причиной расхождения результатов при использовании двух форм ОРУК является рекурсивный способ вычисления интеграла в формуле (4). Поэтому желательно опробовать другие способы интегрирования.

3) При использовании классического варианта ОРУК концентрации предшественников запаздывающих нейтронов рекомендуется пересчитывать на каждом временном шаге в процессе примерно 200-300 внешних итераций при решении пространственно-временного уравнения переноса, оставляя при этом на остальных внешних итерациях эти концентрации неизменными.

Максимальное число внешних итерациях в данном исследовании из соображений экономии ограничивалось 700. Снятие этого ограничения при ITmin = 200-300 практически не влияет на результаты.

4) Общей рекомендацией для реализованного классического варианта ОРУК может быть выбор такого числа ITmin, которое обеспечивает приемлемое совпадение результатов с расчётами по ОРУК_C.

5) Для неизлечимых перфекционистов есть возможность улучшать результаты, подбирая число минимальных итераций для каждого варианта отдельно.

6) Принципиально важным является возможность вычислять реактивность во время и после переходного процесса несколькими способами.

7) Наличие заметного пика на кривой реактивности на момент времени окончания возмущения говорит о неадекватности выбора некоторых параметров или методов расчёта при моделировании временного процесса.

Это может быть шаг по времени, способ и момент расчёта концентраций предшественников запаздывающих нейтронов и/или алгоритм реализации ОРУК.

8) Мощность практически не зависит от вариаций параметров.

9) Расчёты этих эффектов в треугольной геометрии, не включённые в данный материал в связи с ограниченностью размера доклада, подтверждают сделанные выводы.

10) Реактивность, рассчитанная по потокам в точке расположения имитатора ионизационной камеры, заведомо выпадает за пределы исследуемых эффектов и требует введения поправочных коэффициентов, полученных из интегральных данных.

Однако для малых реактивностей при очень мелком шаге по времени результаты становятся приемлемыми (см. Табл. 4).

11) Подстановка в ОРУК потоков, имитирующих токи отдельных ИК, даёт ухудшающиеся результаты по мере роста реактивности.

12) Подчеркнём методический характер данный работы. При расчётах других типов реакторов могут появиться другие закономерности. И поэтому надо всерьёз заняться поиском возможных уточнений в реализации классического варианта ОРУК.

Список литературы

1. BN-600 MOX Core Benchmark Analysis. Results from Phases 4 and 6 of a Coordinated Re-search Project on Updated Codes and Methods to Reduce the Calculational Uncertainties of the LMFR Reactivity Effects. IAEA-TECDOC-1700, IAEA, Vienna, 2013. http://www-pub.iaea.org/MTCD/Publications/PDF/TE-1700_web.pdf

2. Зизин М.Н. Методы расчёта нейтронно-физических характеристик быстрых реакторов.М.: НИЦ "Курчатовский институт", 2014.

3. Зизин М.Н. Интеллектуальная программная система ShIPRW для математического моделирования ядерных реакторов. ПрепринтИАЭ-6354/5, М.: 2005.

4. Мантуров Г.Н., Николаев М.Н., Цибуля А.М. Система групповых констант БНАБ-93. Часть 1: Ядерные константы для расчёта нейтронных и фотонных полей излучений / Сб. "Вопросы атомной науки и техники: Серия: Ядерные константы". - Вып. 1. - M., 1996. - С.59.

Ключевые слова: Нейтронно-физические расчёты реакторов, Курчатовский институт, Статьи, Михаил Зизин


Другие новости:

Мондзю окончательно остановлен - PRIS

Дата окончательного останова - 5 декабря 2017 года.

На новом энергоблоке №4 Ростовской АЭС началась сборка реактора

Далее - гидравлические испытания.

На площадку пускового блока №1 Ленинградской АЭС-2 доставлена первая партия ТВС

Планируется, что операция по доставке топлива будет завершена в ближайшее время.

Герой дня

Владимир Асмолов: расчётчики должны говорить на одном языке

Владимир Асмолов: расчётчики должны говорить на одном языке

На сегодняшний день, под моим руководством работает несколько групп, занимающихся разработкой общей стратегии развития атомной энергетики страны и, в частности, стратегии развития легководных аппаратов. Из многих возможных линий совершенствования технологии ВВЭР выбрана главная, а именно, переход на аппараты со спектральным регулированием.



ИНТЕРВЬЮ

Ирина Московченко

Ирина Московченко
Первоначально мы ожидали, что число участников составит 120 человек. На самом деле, получилось больше. Точные данные появятся только к концу конференции, но можно говорить примерно о 150 участниках. В программе конференции более 80 докладов, причём большая часть из них представлена нашими гостями, специалистами из других организаций.


МНЕНИЕ

Smith

Smith
В последние годы работы в направлении освоения уран-плутониевого карбидного топлива и силицидных оболочек твэлов несколько замедлились. Для карбида это связано с возникшими техническими трудностями в области химии (подробности в рассматриваемом докладе не приводятся).


Поиск по сайту:


Rambler's Top100