В ОКБ "Гидропресс" с 26 по 29 мая 2009 года прошла шестая международная научно-техническая конференция "Обеспечение безопасности АЭС с ВВЭР". Электронное периодическое издание AtomInfo.Ru продолжает знакомить читателей с наиболее интересными выступлениями участников конференции.
С любезного разрешения организаторов конференции, мы публикуем доклад Анализ наиболее значимых реактивностных аварий при модернизации РУ ВВЭР-1000. Авторы доклада - Г.Л. Пономаренко,
М.А. Быков, В.А. Мохов, И.Н. Васильченко, В.Я. Беркович, И.Г. Щекин (ОКБ "ГИДРОПРЕСС", Подольск, Россия).
Реферат
Под модернизацией серийной РУ ВВЭР-1000 в данном докладе понимается, прежде всего, комплексная модернизация активной зоны с переходом на ТВС-2М с удлинённым на 150 мм топливным столбом (и увеличением неперекрытия топлива поглотителем), повышением мощности до 104% Nном0 (Nном0=3000 МВт) и использованием 18-месячной топливной кампании.
В настоящее время осуществляется внедрение такой базовой модернизации. Вместе с тем в докладе на оценочном уровне анализируется (в аспекте RIA) и более широкий инновационный спектр - от большего повышения мощности ВВЭР-1000 (до 107, 110 и 112 % Nном0) до АЭС-2006.
В качестве наиболее значимых реактивностных аварий с точки зрения величины и скорости ввода положительной реактивности рассматриваются следующие три аварии: разрыв паропровода и выброс ОР СУЗ (проектные аварии) и прохождение пробки чистого конденсата (ЧК) через активную зону при пуске первого ГЦН (запроектная авария).
Все аспекты, связанные с указанной модернизацией, изменяют нейтронно-физические характеристики (НФХ), что оказывает воздействие на протекание этих аварий с точки зрения их возможных последствий.
Это изменение НФХ проявляется в виде повышения начального запаса реактивности и соответствующего снижения стояночной борной подкритичности (при СВ = 16 г/кг), снижения полной эффективности ОР СУЗ, ухудшения коэффициентов и эффектов реактивности по температуре теплоносителя, ухудшения параметров кинетики.
Анализ безопасности проводился с использованием реалистического сопряжённого кода КОРСАР/ГП с пространственной нейтронной кинетикой и учётом неполного перемешивания теплоносителя в реакторе.
Разработана методика анализа для проектных режимов. Используется наложение дополнительного сверхпроектного отказа для усиления действия значимых факторов, таких как захолаживание для разрыва паропровода или задержка срабатывания АЗ для выброса ОР СУЗ.
Анализы сформулированных таким образом "ключевых" сценариев проводятся в консервативном приближении по исходным данным (начальным и граничным условиям), которое, в свою очередь, модифицировано для учёта реалистических топливных загрузок и возможностей кода КОРСАР/ГП.
Для запроектного режима с пробкой ЧК разработана методика анализа, процессы перемешивания по КОРСАР/ГП моделировались на основе результатов измерений на стенде в масштабе 1:5.
Определены безопасные объёмы пробок ЧК и периоды времени непредусмотренного разбавления, которые оказались достаточно большими для того, чтобы с высокой вероятностью обеспечить их непревышение в процессе пуска эксплуатируемых энергоблоков после перегрузки топлива.
Оценено влияние увеличения количества ОР СУЗ c 61 до 121 шт. на показатели безопасности в данном режиме.
Выполнение приёмочных критериев для рассмотренных ключевых сценариев позволяет сделать предположение о реальности обоснования безопасности по всем авариям типа RIA для рассматриваемого направления модернизации.
1. Введение.
1.1. Различия между проектами В-320 и В-338 РУ ВВЭР-1000, а также между модификациями топливных сборок ТВС-2М и ТВСА-PLUS в рамках настоящего анализа оказывают слабое влияние на результаты, поэтому анализ проводится для РУ В-320 и ТВС-2М.
Наиболее существенным отличием ТВС-2М от штатных ТВС-2 является увеличение длины топливного столба на 150 мм (37 мм вверх и 113 мм вниз) при сохранении общего габарита ТВС.
ТВС-2М предполагается использовать в той же активной зоне с реактором ВВЭР-1000, что и штатные ТВС. При этом имеющиеся приводы СУЗ и сами ОР СУЗ не обеспечивают полного перекрытия для ТВС-2 с обычной проектной длиной (3550 мм) топливного столба. При срабатывании аварийной защиты ОР СУЗ расцепляются с приводами и падают до НЖУ, при этом их недоход до низа топливного столба не превышает 83 мм.
1.2. После сцепления с приводами ОР СУЗ переводятся на НКВ, при этом недоход увеличивается примерно на 100 мм. Поскольку при пуске первого ГЦН, ОР СУЗ находятся на НКВ (в соответствии с действующим регламентом эксплуатации), то такое существенное неперекрытие топлива поглотителем требует обоснования безопасности в режиме с пробкой ЧК даже и для ТВС-2.
При переходе к ТВС-2М величина недохода увеличивается на 113 мм и его влияние, вместе с другими способами модернизации активной зоны (повышение мощности и удлинение кампании реактора) требует детального анализа, на основании которого может быть сделан вывод о необходимости изменения конструкции и замены приводов СУЗ и самих ОР СУЗ в связи с комплексной модернизацией активной зоны.
Наиболее вероятная (в середине допусков) проектная величина недохода составляет 190 мм при расположении ОР СУЗ на НЖУ, при срабатывании АЗ, и 260 мм при расположении ОР СУЗ на НКВ.
1.3. В режиме с разрывом паропровода необходимо наиболее детально исследовать период времени, начиная со срабатывания АЗ и до опустошения аварийного ПГ.
Использование ТВС-2М приводит к двоякому воздействию на безопасность в данном режиме. С одной стороны увеличение длины топлива само по себе повышает безопасность. С другой стороны безопасность снижается за счёт повышения недохода ОР СУЗ и соответствующего снижения эффективности АЗ.
Потенциальная опасность нарушения приёмочных критериев по безопасности кроется, прежде всего, в повторном выходе на мощность после срабатывания АЗ. Исследование должно проводиться с анализом и учётом всех возможных погрешностей значимых параметров. Должен быть определён ключевой сценарий, который является заведомо консервативным и охватывает все возможные проектные сценарии с захолаживанием.
1.4. В режиме с выбросом ОР СУЗ наиболее важен период времени до срабатывания АЗ, когда повышение реактивности и мощности вначале ограничивается только эффектом Допплера, а ТКР по теплоносителю включается с задержкой в несколько секунд.
Потенциальная опасность нарушения приёмочных критериев по безопасности при повышении номинальной мощности кроется, прежде всего в превышении температуры плавления и энтальпии фрагментации топлива. Поэтому ключевой консервативный сценарий для данного режима должен включать в себя так называемую фазу ATWS, т.е. моделироваться с некоторой задержкой на срабатывание АЗ.
1.5. Пробка ЧК может образоваться различными путями. Так, при неработающих ГЦН и работе системы отвода остаточных тепловыделений, в петлях могут формироваться застойные зоны. Наиболее вероятно эти пробки могут образоваться в U-образных участках циркуляционных петель при работе штатной системы подпитки с ошибочной подачей ЧК вместо борного раствора.
В этом случае ЧК из общего коллектора попадает во все четыре петли, образуя в них пробки ЧК. Когда циркуляция восстанавливается, сформировавшаяся при разбавлении бора пробка ЧК движется в реактор, и это приводит к вводу положительной реактивности в активную зону.
Наиболее опасной ситуацией является пуск первого ГЦН на петле с образовавшейся пробкой с низкой или нулевой концентрацией бора.
Время прохождения пробки ЧК от гидрозатвора до активной зоны составляет несколько секунд. Разогнавшаяся пробка входит в активную зону и быстро (за время порядка 1 с) может вывести реактор из глубокой подкритичности в надкритическое состояние и вызвать образование опасной нейтронной вспышки.
Пробка достаточно быстро проходит через активную зону, однако выделившейся энергии может быть достаточно для повреждения или разрушения топлива. При этом ни системы защиты, ни оператор не имеют возможности своевременно выполнить защитные действия.
При пуске первого ГЦН в активную зону быстро попадает только одна пробка ЧК. Эта пробка по пути в активную зону перемешивается в НКР. Предполагается, что пробки из остальных петель будут вначале удаляться от активной зоны вместе с обратным током и затем также эффективно перемешаются с борным раствором до безопасной концентрации до их попадания в активную зону.
В реальности, в результате перемешивания и размывания пробки ЧК при её перемещении от места образования (гидрозатвора петли) в активную зону поступает уже не чистый конденсат с СВ=0 г/кг, а раствор борной кислоты с пониженной, по сравнению со стояночной, концентрацией.
Это принципиально смягчает процессы в активной зоне, поскольку возникновение опасной нейтронной вспышки требует значительно большего объёма пробки и, соответственно, большего времени её формирования.
Удлинение топливной кампании до 18 месяцев, как и повышение мощности, усугубляют протекание режима с пробкой ЧК. Это обусловлено снижением стояночной борной подкритичности (при не увеличении стояночной концентрации борной кислоты выше 16 г/кг) за счёт повышенного начального запаса реактивности.
Естественно предположить, что чем больше время непредусмотренного разбавления и объём введённого ЧК, тем больше вероятность его обнаружения оперативным персоналом, однако в настоящем анализе величины вероятностей не оценивались.
1.6. На Рис.1 представлена нумерация ТВС, размещение 61 ОР СУЗ в активной зоне ВВЭР-1000 и расположение петель. На Рис.2 представлены распределения энерговыделения на номинальной мощности и выгорания по ТВС в секторе симметрии 60°, реализующиеся для начала и конца стационарной топливной загрузки.
Исходные данные по НФХ стационарных топливных загрузок (библиотеки констант) рассчитаны А.Н. Устиновым по аттестованному комплексу САПФИР_95&RC_ВВЭР [1, 2].
1.7. При анализе аварий проверяется выполнение следующих, значимых для рассматриваемых в данном анализе проектных и запроектной аварии, приемочных критериев по топливу:
Рис.1. Нумерация ТВС и размещение 61 ОР СУЗ в активной зоне ВВЭР-1000.

Рис.2. Распределения параметров по ТВС в секторе симметрии 60°, реализующиеся в исходном состоянии для начала (BOC) и конца (EOC) стационарной топливной загрузки.
Щёлкните левой клавишей мыши для просмотра в новом окне.

2. Ключевые сценарии.
2.1. Для аварии с разрывом паропровода в качестве ключевого сценария принято моделирование фактически сверхпроектного сценария, в котором к обычному единичному отказу - незакрытие БЗОК (и отсечной электроприводной задвижки) на аварийном ПГ-2 дополнительно моделируется неотключение ГЦН-2 на этой петле.
Суммарное воздействие этих отказов приводит к наиболее неблагоприятной ситуации с захолаживанием.
Отметим, что обычное проектное протекание режима с разрывом паропровода, сопровождающееся отключением ГЦН-2, приводит к устранению (из-за обратного тока в петле 2) формирования сильно захоложенного сектора (квадранта) активной зоны и большей подкритичности, что в свою очередь исключает или сильно ослабляет рост мощности после сброса АЗ.
Основное предназначение ключевого сценария состоит в выявлении возможностей АЗ, содержащей 61 ОР СУЗ, совместно с внутренне присущими свойствами ядерного топлива (обратными связями) обеспечить безопасность при глубоком захолаживании (т.е. при вводе значительной положительной реактивности) в условиях работы на повышенной мощности.
Использование ключевого сценария является не искусственным созданием избыточного консерватизма, а преднамеренным акцентированием на проблемной области (вопрос достаточности АЗ) с усилением значимых, для ввода положительной реактивности, факторов.
Значимыми параметрами, учёт погрешностей которых также приводит к усилению эффекта захолаживания, являются следующие:
2.2. Для ключевого сценария постулируемой аварии с выбросом ОР СУЗ моделируется задержка (10 с) на срабатывание АЗ (фаза ATWS), с последующим сбросом АЗ с консервативным зависанием двух ОР СУЗ вблизи от ячейки с выбрасываемым ОР.
В стационарном исходном состоянии моделируется большой положительный оффсет энерговыделения (+[12-14] % при извлечённой РГ, что недопустимо увеличивает максимум в верхней части активной зоны.
Для его подавления в активную зону максимально (до высоты 50% от низа) введена рабочая группа. Эффективность РГ моделируется сильно завышенной (коэффициент повышения поглощающей способности ПС СУЗ, относящихся к РГ при расчёте по КОРСАР/ГП задаётся равным 1,15).
Это приводит к заметному искажению поля энерговыделения в исходном стационарном состоянии с реализацией пониженного значения DNBR0, а также к усугублению сценария с выбросом ОР СУЗ.
Для остальных ОР СУЗ, падающих при срабатывании АЗ, моделируется понижение поглощающей способности ПС СУЗ (коэффициент 0,95). Консервативно моделируются также параметры обратных связей и нейтронной кинетики.
Для мощности "горячих" твэлов вводится дополнительный произвольный коэффициент увеличения для консервативного учёта искажения поля энерговыделения (в данном анализе он принят равным 1,05).
Режим моделируется без учёта течи теплоносителя из первого контура, образующейся при разрыве чехла привода ОР СУЗ (что даёт консервативный результат). Анализируется начало и конец стационарного года работы. Обесточивание не накладывалось, поскольку, как показал расчёт, его наложение не ухудшает критериальных параметров.
2.3. Ключевым сценарием для аварии с пробкой ЧК принят следующий.
Вначале производится специфическое расчётное моделирование стационарного состояния. Моделируется стационарное холодное состояние РУ (при давлении 3 МПа в первом контуре), подкритичность в котором обеспечивается стояночной концентрацией борной кислоты (16 г/кг) в теплоносителе.
Затем реактор переводится в ещё более глубокое подкритическое состояние введением всех ОР СУЗ в активную зону (с варьированием величины недохода).
Такой способ моделирования "стационарного" состояния позволяет не только определить, но и моделировать нужный консерватизм стояночных реактивностей, обеспечиваемых за счёт бора и ПС СУЗ, как по отдельности, так и в сумме.
Все ГЦН отключены и в ГЦТ вводится чистый конденсат, который распределяется из общего коллектора поровну по всем петлям.
Предполагается, что во всех петлях (в гидрозатворах) образуются пробки ЧК (с СВ=0), что консервативно с точки зрения реализации минимальной концентрации бора в активной зоне в ядре пробки. Таким образом устанавливается исходное стационарное состояние.
Для принятой расчётной модели в момент времени 145 с включается ГЦН на петле 2 с пробкой ЧК, накопившейся в гидрозатворе одной петли. В результате перемешивания и размывания пробки, в активную зону поступает раствор борной кислоты с пониженной, по сравнению со стояночной, концентрацией.
Остальные ГЦН в соответствии с регламентом поочерёдно включаются с выдержкой по времени, достаточной для перемешивания (п. 1.5). Для данного запроектного режима производится анализ в реалистическом приближении по исходным данным НФХ.
Объём пробки ЧК определяется временем непредусмотренной подпитки. Для определённости оценки допустимых времён предполагается наиболее вероятный источник поступления непредусмотренной подпитки ЧК - работа подпиточного насоса. Его производительность принимается равной 20 т/ч, что вдвое выше минимальной (10 т/ч).
3. Основные методические положения
3.1. В настоящем анализе принят следующий подход для моделирования исходных консервативных аксиальных профилей энерговыделений для проектных аварий с разрывом паропровода и выбросом ОР СУЗ.
В качестве предельного значения мощности твэла принята величина 111 кВт с учётом Кинж = 1,16, Кr0_lim0 = 1,56 и отклонения интегральной мощности реактора (1,04). При этом имеют место соотношения для предельной мощности твэла (относительной и абсолютной) для активной зоны ВВЭР-1000 содержащей 163 ТВС по 312 твэлов):

В настоящем анализе при увеличении мощности Nном величина предельной мощности твэла Кr0_lim пропорционально уменьшается:

Соотношение (3) есть одно из основных предположений настоящего анализа, основанное на существовании значительных запасов по энерговыделению в реальной эксплуатации (особенно для стационарного цикла выгорания топлива), что позволяет наиболее просто повысить номинальную мощность Nном.
В частности для настоящего анализа эти запасы проявляются в том, что максимальные значения Kr0 = max (Kk0i × Q0i) не превышают 1,46 для начала (Рис.2в) и 1,37 для конца (Рис.2е) стационарной топливной загрузки, что значительно меньше, чем предельный Кr0_lim0 = 1,56.
Здесь Q0i, Kk0i и Кr0 = max (Kk0i × Q0i), i=1,…,N (значок "0" означает исходное стационарное состояние, а значок "0" относится к исходному номинальному уровню мощности 3000 МВт) есть относительные значения интегральной мощности каждой из N "горячих" ТВС и максимальной мощности твэла в ТВС и в активной зоне соответственно.
Эти значения рассчитываются по стационарным кодам САПФИР_95&RC_ВВЭР [2] (Рис.2) или БИПР-7А + ПЕРМАК-А. Значения Q0i для стационарного состояния рассчитываются также по модулю КАРТА в программном комплексе КОРСАР/ГП [3].
При принятом подходе большое значение имеет качество штатного мониторинга энерговыделения, который при нормальной эксплуатации должен обеспечить нахождение величин Kr0 и Off0 в допустимых пределах.
Однако решающую роль в определении истинных запасов играют величины критериальных параметров, реализующиеся в конкретном динамическом режиме, а не исходные запасы в "статике".
Интегральное энерговыделение "горячего" твэла смоделировано консервативно с использованием предельной неравномерности энерговыделения Kk0_limi, i=1,…, N. Значение относительной мощности твэла (Kk0_limi × Q0i) моделируется одинаковым для всех "горячих" твэлов (i=1,…, N) и рассчитывается из соотношения:

Таким образом, каждый "горячий" твэл будет в базовой "статике" иметь мощность 111 кВт.
При расчёте исходного стационарного состояния по коду КОРСАР/ГП рассчитываются базовые значения относительной мощности для каждого из N горячих каналов К_kani = Kk0_limi × Кинж.
Эти значения рассчитываются в наиболее вероятном для процесса эксплуатации, т.е. наименее возмущённом (или базовом) состоянии - при стационарном отравлении ксеноном (135Хе) и при верхнем положении РГ, и используются в дальнейшем переходном процессе. Такое исходное состояние назовём "базовой статикой".
Однако для каждого конкретного режима, с целью моделирования консервативного исходного состояния, производится процедура возмущения базового стационарного поля энерговыделения. Такое исходное состояние назовём "возмущённой статикой".
Это достигается путём моделирования консервативного, но допустимого нормальной эксплуатацией, состояния с нестационарным оффсетом и более глубоким погружением РГ.
В возмущённой таким образом активной зоне относительная и абсолютная мощность "горячих" твэлов может несколько превышать значения (1,81 × Nном0 / Nном) и 111 кВт, особенно если применять дополнительный коэффициент увеличения их мощности (пункт 2.2).
По существу, этими действиями вводится дополнительный эксплуатационный запас на погрешность системы мониторинга энерговыделения по определению Kr0 в "возмущённой" активной зоне.
Режим с разрывом паропровода в данном расчёте моделировался для трёх различных максимумов энерговыделения, допустимых нормальной эксплуатацией - внизу, в середине и вверху активной зоны. Режим с выбросом стержня моделировался с очень большим максимумом энерговыделения вверху, для компенсации которого и для усугубления результатов вводится утяжелённая РГ до (или ниже) середины активной зоны.
Таким образом, осуществляется возможность моделирования практически любых возмущенных стационарных значений Q0i , которые необходимы для обеспечения консерватизма конкретного режима либо выбираются по произволу пользователя-аналитика. Эту особенность можно считать существенным преимуществом принятого подхода консервативного моделирования реалистических топливных компоновок.
Исходный аксиальный профиль вместе с интегральным энерговыделением "горячего" твэла должен обеспечить консервативное значение линейного энерговыделения Ql_hot0 и запаса до кризиса DNBR0 в стационарном режиме работы РУ.
Для обеспечения этого моделируется оффсет энерговыделения на границах диапазона примерно ±10% от стационарного значения, что вдвое шире (для обеспечения консерватизма по данному параметру) эксплуатационного диапазона поддержания оффсета (равного ±5% от стационарного значения).
На Рис.3 и 4 представлены полученные для режима с разрывом паропровода характерные стационарные консервативные аксиальные профили энерговыделения в "горячих каналах". Это Ql_hot0 для вариантов с максимумами энерговыделения внизу и вверху активной зоны. Моделировалось верхнее положение ОР СУЗ рабочей группы.
Заметим, что аксиальный профиль с максимумом вверху более консервативен (на высоте 90% от низа активной зоны достигается Ql_hot0 = 360 Вт/см, Рис.3в), чем традиционно применяемый предельно допустимый рамочный профиль (для которого на высоте 80% Ql_hot0 не должен превышать 360 Вт/см). Это приводит к тому, что в стационарном состоянии DNBR0 будет несколько занижен.
Рис.3. Типичные исходные предельные консервативные стационарные аксиальные профили энерговыделения в "горячих каналах" характерных ТВС, моделируемые для режима с разрывом паропровода и их экстремальное изменение в ходе процесса. Конец кампании реактора.

Рис.4. Типичные исходные предельные консервативные стационарные аксиальные профили энерговыделения в "горячих каналах" характерных ТВС, моделируемые для режима с разрывом паропровода. Начало кампании.

Для режима с выбросом ОР СУЗ моделируется гораздо более положительный офсет (Рис.5, на высоте порядка 90% от низа активной зоны достигается Ql_hot0 = 378 Вт/см).
Ещё один, традиционно применяемый предельно допустимый рамочный профиль, для которого до высоты 50% Ql_hot0 не должен превышать 448 Вт/см, как правило не нарушается и для применяемого здесь подхода.
Вместе с тем, как уже отмечалось, в данном подходе от мониторинга энерговыделения требуется контролировать и лимитировать прежде всего величины Kr0 и Off0, а зависящая от них величина Ql_hot0 может контролироваться как дополнительный параметр.
Рис.5. Исходные предельные консервативные стационарные аксиальные профили энерговыделения в "горячих каналах" характерных ТВС, моделируемые для режима с выбросом ОР СУЗ и их экстремальное изменение в ходе процесса.

3.2. На экспериментальном стенде ОКБ "Гидропресс", который является уменьшенной моделью ВВЭР-1000 в масштабе 1:5, в 2003, 2006 и 2007 годах были проведены специальные исследования режима с включением первого ГЦН при наличии соответствующей пробки ЧК в петле [6-8].
Моделировался объём пробки ЧК 72 л. Это эквивалентно 9 м3 для реальной РУ с ВВЭР-1000, что соответствует объёму U-образного участка ГЦТ. В измерениях 2007 года также моделировали и повышенный объём пробки 120 л, что эквивалентно 15 м3 для натурного реактора.
Неравномерность борной концентрации моделировалась на стенде неравномерной температурой или неравномерной концентрацией соли.
Из проведённых измерений получено, что до входа в активную зону концентрация бора в пробке существенно сглаживается. Мерой такой сглаженности является минимальная относительная концентрация СВmin/СВо.
Ранее производились также начальные упрощённые попытки моделирования данного режима с использованием сопряжённых кодов [9] и, особенно [10], опыт и результаты которых были учтёны при проведении настоящего усовершенствованного анализа.
На основе обобщения имеющихся данных была построена аппроксимирующая кривая (Рис.6), для моделирования по КОРСАР/ГП минимальной концентрации бора в реальном режиме на энергоблоке ВВЭР-1000. Она представляется достаточно консервативной и пригодной для анализа режима при пуске первого ГЦН.
Кроме минимальной концентрации жидкого поглотителя (Рис.6), важную роль для возникновения опасной нейтронной вспышки играет поперечный размер ядра пробки ЧК в активной зоне. Иными словами, насколько компактна и велика конфигурация из ТВС, в которой достигается минимальная и близкая к минимальной концентрация.
Такая информация получается из измерений на стенде и их моделирования по CFD кодам [7], и консервативно моделируется в коде КОРСАР/ГП с использованием его возможностей. При этом не важно точное местонахождение пробки в активной зоне и она моделируется в прилегающем секторе активной зоны.
В коде КОРСАР/ГП имеется возможность моделирования практически любого пространственного распределения СВ, и в частности, соответствующего измеренным на стенде и Рис.6.
Рис.6. Зависимости минимальной концентрации борной кислоты на входе в активную зону ВВЭР-1000 от объёма пробки ЧК в петле.

4. Результаты анализа.
4.1. В рамках ограниченного объёма доклада результаты представляются только для критериальных и основных сопутствующих параметров, что достаточно для понимания и выработки выводов.
Для режима с разрывом паропровода на Рис.7 представлены изменения основных, сопутствующих и критериальных параметров для ключевого консервативного сценария при варьировании аксиальных профилей энерговыделения в активной зоне и уровней повышения мощности (см. также п. 2.1).
Рис.7. Режим с разрывом паропровода. Изменение основных параметров.
Щёлкните левой клавишей мыши для просмотра в новом окне.


Рассчитано достаточно большое количество вариантов для различных сочетаний варьируемых величин. Из них основные 9 вариантов (107_BOT, 107_MID, 107_TOP, 110_BOT, 110_MID, 110_TOP, 112_BOT, 112_MID, 112_TOP) относятся к концу стационарной топливной загрузки, поскольку именно в ней реализуются наихудшие критериальные параметры вследствие наиболее отрицательных обратных связей.
Дополнительно рассчитаны варианты (112_BOT_BOC и 112_TOP_BOC) для начала работы стационарной топливной загрузки (20 эфф. суток).
Из Рис.7б,в,г видно, что для режима, возникшего в начале кампании, активная зона остаётся в достаточно глубоком подкритическом состоянии в течение всего процесса вплоть до опустошения аварийного ПГ-2.
При этом не происходит повышения интегральной и локальной мощности в захолаживаемом квадранте активной зоны. Напротив, для режима, возникшего в конце кампании имеет место значительный рост мощности после срабатывания АЗ, особенно в захолаживаемом квадранте 2 активной зоны.
Существенным является то обстоятельство, что при этом реактивность активной зоны после сброса АЗ, не становится положительной, хотя и приближается к нулевому значению после 60-й секунды процесса (Рис.7б).
Такое "поддержание подкритичности" при глубоком захолаживании активной зоны в принятом ключевом сценарии обеспечивается за счёт действия обратных связей от разогреваемой активной зоны.
Из Рис.7 наблюдается слабая зависимость критериальных параметров от повышения номинального уровня мощности Nном / Nном0, что является следствием принятого подхода (п. 3.1).
В то же время, запас при повышении Nном / Nном0, не исчерпывается полностью.
Так, для определяющей в данном режиме периферийной ТВС 36 (Рис.1), в которой реализуется "горячий" канал, запас Кr0_lim в соотношении (3) или отношение (Kk0_limi / Kk0i) составляет 1,13; 1,10 и 1,09 соответственно для 107, 110 и 112% Nном0. Для непериферийных ТВС активной зоны этот запас находится в диапазонах 1,06-1,08, 1,03-1,05 и 1,02-1,03 соответственно для Nном, равной 107, 110 и 112% Nном0.
Из Рис.7 видно, что в рассмотренном режиме обеспечивается выполнение принятых приёмочных критериев при повышении тепловой мощности до 110% Nном0. На мощности 112% Nном0 реализуется кратковременное (в течение примерно 13 с) превышение приёмочного критерия по температуре плавления топлива первого года работы (2840°С).
Для более выгоревшего топлива температура не превышает 2450°С (что меньше значения приёмочного критерия 2570°С) и плавления топлива не происходит.
Остальные приёмочные критерии (пункт 1.7) удовлетворяются для всех значений 107, 110 и 112 % Nном0. Кризиса теплообмена не возникает.
Рис.8. Режим с разрывом паропровода. Типичные пространственные распределения в активной зоне на момент 80 с.
Щёлкните левой клавишей мыши для просмотра в новом окне.

На Рис.8 приведены типичные пространственные распределения температуры теплоносителя в сечении 1 (на входе в активную зону) для принятой консервативной модели межпетлевого перемешивания и с учётом возможной её погрешности, а также энерговыделения, усреднённого по сечению ТВС.
Для удобства обзора энерговыделения использован поворот рисунка на 60° против час. стрелки (ПрЧС). Этим распределениям соответствуют аксиальные распределения Ql_hot на Рис.3б,г.
Рис.9. Режим с разрывом паропровода. Зависимости экстремальных значений параметров, реализующихся после сброса АЗ от величины недохода ОР СУЗ. Вариант 104_MID.
Щёлкните левой клавишей мыши для просмотра в новом окне.


В режиме с разрывом паропровода исследовано влияние недохода ОР СУЗ в диапазоне от 0 до 20 см до низа топлива после сброса АЗ в совокупности с варьированием исходного оффсета энерговыделения при работе на мощности 104 (Рис.9) и 110% Nном0.
В результате расчётов показано, что для всех вариантов критериальные параметры - температура и радиально усреднённая энтальпия топлива удовлетворяют приёмочным критериям, а кризиса не возникает, и получены следующие результаты:
4.2. Для ключевого сценария режима с выбросом ОР СУЗ (см. п.2.2) значимым является период времени 15-20 с после выброса ОР СУЗ.
Такой режим проанализирован для начала и конца стационарной кампании при работе на повышенной мощности Nном = 112% Nном0.
Рис.10. Режим с выбросом ОР СУЗ. Изменение основных параметров.
Щёлкните левой клавишей мыши для просмотра в новом окне.


На Рис.10 представлены изменения основных параметров для режима с выбросом ОР СУЗ. Из анализа расчётов можно заключить, что:
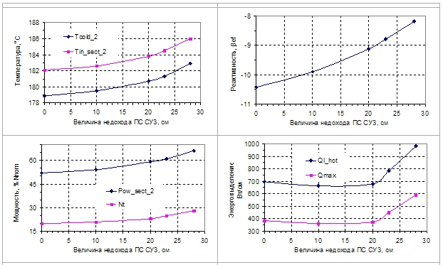
4.3. Для ключевого сценария режима с пробкой ЧК при пуске первого ГЦН (см. пункты 2.3 и 3.2) на Рис. 11 представлены результаты - типичное изменение основных параметров во времени при варьировании высоты недохода 61 ОР СУЗ до низа топлива (9, 19 и 26 см) для пробки ЧК объёмом 9,4 м3 (в обозначении варианта указана высота недохода ОР СУЗ и объём пробки ЧК, например, 26cm_9.4m3).
Рис.11. Режим с пробкой ЧК. Типичное изменение параметров.
Щёлкните левой клавишей мыши для просмотра в новом окне.



На Рис.12 приведены типичные пространственные распределения Tf_max и СВ в сечениях активной зоны в момент времени 156 с на примере варианта 26cm_9.4m3.
Качественный вид распределений Tf_max сохраняется в течение всего процесса прохождения пробки. Это значит, что наиболее опасно нагретыми остаются свежие ТВС 36, 48 и 35 и в меньшей степени ТВС 47 второго года работы (нумерация ТВС на Рис.1).
Максимумы температуры реализуются и сохраняются в сечении (слое) 2 активной зоны. Поэтому, на Рис.11 представлены также изменения критериальных параметров для этих нескольких горячих каналов, что особенно важно для выгоревшей ТВС 47, поскольку для выгоревшего топлива критерии более жёсткие (п. 1.7).
Рис.12. Режим с пробкой ЧК. Распределения Tf_max (°C) и CB (г/кг)в активной зоне в момент времени 156 с. Вариант 26cm_9.4m3.
Щёлкните левой клавишей мыши для просмотра в новом окне.

На Рис.13 приведены зависимости экстремальных значений критериальных и сопутствующих параметров от величины недохода ОР СУЗ для пробки ЧК объёмом 9,4 м3.
В основном варианте моделируется 61 ОР СУЗ. Оценено также влияние увеличения количества ОР СУЗ до 121 шт. на показатели безопасности в данном режиме.
121 ОР СУЗ соответствует проектам ВВЭР-1000 повышенной безопасности и АЭС-2006.
Рис.13. Зависимости экстремальных значений критериальных и сопутствующих параметров от величины недохода 61 ОР СУЗ для пробки ЧК объёмом 9,4 м3.
Щёлкните левой клавишей мыши для просмотра в новом окне.


На Рис.14 приведены зависимости экстремальных значений критериальных параметров от объёма пробки ЧК для 61 и 121 ОР СУЗ. Недоход ОР СУЗ до низа топлива принимался равным проектной величине для ВВЭР-1000 26 см (п.1.2).
Рис.14. Зависимости экстремальных значений критериальных параметров от объёма пробки ЧК для 61 и 121 ОР СУЗ. Недоход ОР СУЗ до низа топлива 26 см.
Щёлкните левой клавишей мыши для просмотра в новом окне.

Получены следующие основные результаты для режима с пробкой ЧК при пуске первого ГЦН:
5. Заключение.
5.1. Проведены анализы наиболее значимых реактивностных режимов для базовой модернизации - при работе на повышенной мощности до 104% Nном0 (Nном0=3000 МВт). Использовалась 18-месячная топливная кампания с удлинённым на 150 мм топливным столбом.
На оценочном уровне проанализирован (в аспекте RIA) и более широкий инновационный спектр - от большего повышения мощности ВВЭР-1000 (до 107, 110 и 112% Nном0) до АЭС-2006.
Анализы проводятся с использованием сопряжённого кода КОРСАР/ГП (который в настоящее время проходит процедуру аттестации) с пространственной нейтронной кинетикой и учётом неполного перемешивания теплоносителя в реакторе.
На данном этапе, для решения целевой задачи используются наиболее простые и доступные мероприятия, состоящие в использовании консервативных исходных данных для реальных топливных загрузок.
На этом этапе анализируются наиболее консервативные ключевые сценарии проектных аварий "разрыв паропровода", "выброс ОР СУЗ", и запроектная авария "прохождение пробки ЧК через активную зону при пуске первого ГЦН".
5.2. В результате получено, что в режиме с разрывом паропровода приёмочные критерии удовлетворяются для базовой модернизации (104%), а также для повышения мощности до 110% Nном0.
На мощности 112% Nном0 реализуется кратковременное (в течение примерно 13 с) превышение приёмочного критерия по температуре плавления топлива первого года работы (2840°С). Для более выгоревшего топлива плавления топлива не происходит. Остальные приёмочные критерии удовлетворяются для всех значений от 104 до 112% Nном0. Кризиса теплообмена не возникает.
В режиме с разрывом паропровода исследовано влияние недохода ОР СУЗ (в количестве 61-1 шт.) в диапазоне 10-20 см до низа топлива после сброса АЗ в совокупности с варьированием исходного оффсета энерговыделения (при работе на мощности 104 и 110% Nном0).
Обнаружен эффект немонотонности изменения критериальных параметров (чем выше недоход, тем лучше значения параметров), который имеет место при реализации исходных максимумов энерговыделения в средней и, особенно, в верхней части активной зоны (для максимума внизу этот эффект отсутствует).
Эффект немонотонности возникает за счёт аксиального перераспределения максимума поля энерговыделения (после срабатывания АЗ) из верхней части активной зоны в её нижнюю часть, что повышает запасы по безопасности.
В результате расчётов показано, что для всех вариантов критериальные параметры - температура и радиально усреднённая энтальпия топлива удовлетворяют приёмочным критериям, а кризиса не возникает.
5.3. Проанализирован ключевой сценарий режима с выбросом ОР СУЗ. Моделируется сценарий, комбинирующий фазу ATWS, с последующим сбросом АЗ. Показано следующее:
5.4. Выполнен анализ безопасности запроектного режима с пробкой чистого конденсата в холодном состоянии при пуске первого главного циркуляционного насоса.
На основе анализа расчётных и экспериментальных данных разработана консервативная аппроксимация, использованная для моделирования по КОРСАР/ГП пространственно-временного распределения жидкого поглотителя в активной зоне.
Принятый подход позволил получить необходимые данные по запасам времени для действий персонала. Организационно-техническими мерами, с достаточно высокой вероятностью (что обосновывается в проекте АЭС) гарантируется исключение непредусмотренного разбавления бора или его обнаружение в течение указанных промежутков времени.
При обнаружении оператором факта разбавления, пуск первого ГЦН должен быть отложен до выяснения причин и устранения разбавления.
Оценен эффект увеличения количества ОР СУЗ c 61 до 121 шт. Получены следующие основные результаты:
Условные обозначения
см (cm) | |
°С | |
°С | |
Индексы
Сокращения
Список литературы
ИСТОЧНИК: Г.Л.Пономаренко, М.А.Быков, В.А.Мохов, И.Н.Васильченко, В.Я.Беркович, И.Г.Щекин (ОКБ ГИДРОПРЕСС)
ДАТА: 26.06.2009
Темы: ОКБ Гидропресс, Статьи, Обеспечение безопасности АЭС с ВВЭР