В ОКБ "Гидропресс" с 26 по 29 мая 2009 года прошла шестая международная научно-техническая конференция "Обеспечение безопасности АЭС с ВВЭР". Электронное периодическое издание AtomInfo.Ru продолжает знакомить читателей с наиболее интересными выступлениями участников конференции.
С любезного разрешения организаторов конференции, мы публикуем доклад Анализ показаний аппаратуры нейтронного потока в режимах со срабатыванием ускоренной предупредительной защиты для реакторных установок с реактором ВВЭР-1000. Авторы доклада - М.А. Быков, Г.В. Алехин, И.Г. Петкевич (ОКБ "ГИДРОПРЕСС", Подольск, Россия).
Аннотация
Ускоренная предупредительная защита (УПЗ) служит для быстрой разгрузки блока до уровня мощности 40-50%. Её работа состоит в быстром введении в активную зону реактора одной группы органов регулирования (ОР) системы управления и защиты (СУЗ).
Сигнал на срабатывание УПЗ возникает в случае отказа в работе определённого оборудования (при отключении одного из двух турбопитательных насосов, при закрытии стопорных клапанов турбины, при обесточивании двух из четырёх главных циркуляционных насосов).
Основная цель срабатывания УПЗ в рассмотренных режимах состоит в сохранении динамической устойчивости энергоблока при выполнении приёмочных критериев, которые обеспечивают отсутствие повреждения твэлов.
При помощи программного комплекса (ПК) ТРАП-КС на примере переходного процесса с отключением одного ТПН для третьей топливной загрузки 2 блока Хмельницкой АЭС на момент кампании 270 эффективных суток анализируются причины срабатывания аварийной защиты по уменьшению периода разгона реактора, возможность используемых моделей правильно оценивать показания уровня нейтронного потока и периода реактора в АКНП-И.
Введение
22 сентября 2007 года на втором энергоблоке Хмельницкой АЭС имел место сигнал об отказе одного из турбопитательных насосов (ТПН). По сигналу сработала система УПЗ.
После ускоренной разгрузки блока температура топлива и теплоносителя резко уменьшились. И вследствие обратных связей по температуре топлива и температуре теплоносителя мощность реактора начала расти. При этом период разгона реактора, зафиксированный с помощью системы АКНП-И, внедрённой на этом энергоблоке, составил величину менее 10 с, и сработала аварийная защита реактора (АЗ).
В данной ситуации не было необходимости в срабатывании АЗ, т.к. кратковременный рост мощности реактора из-за влияния обратных связей не приводит к опасным последствиям для активной зоны реактора.
Для решения проблемы потребовалось смоделировать работу аппаратуры по измерению периода разгона, используемой в АКНП-И.
Моделирование периодомера принято в соответствии с алгоритмом, представленным в работe [1], в которой также проведен расчётный анализ переходного процесса по коду DYN3D с использованием заданных постоянных граничных условий на активной зоне.
Результаты расчёта переходного процесса с отключением одного ТПН по ПК ТРАП-КС проведены с использованием полноконтурной схемы реакторной установки и сравниваются с результатами расчета по коду DYN3D.
Принятые допущения
В Табл.1-2 приведены принятые условные обозначения и сокращения.
Таблица 1. Принятые условные обозначения.
| Коэффициент неравномерности энерговыделений между кассетами, отн.ед. (rel.units) | |
| Средняя мощность реактора (мощность реактора по показаниям каналов АКНП), МВт (MW) | |
| Период реактора, с | |
| Время процесса, с (s) |
Таблица 2. Принятые сокращения.
регулирования турбины |
При расчёте используется следующая нодализационная схема активной зоны.
При расчёте по ПК ТРАП-КС [2,3] активная зона реактора представляется многоканальной моделью, включающей 163 канала, характеризующих поведение всех ТВС активной зоны и 18 каналов протечек.
Каналы активной зоны реактора разбиваются на 20 участков по высоте обогреваемой части твэлов, а твэлы в каждой ячейке - на 10 участков по радиусу. Кроме того, для всех каналов учитывается один необогреваемый входной и один необогреваемый выходной участок канала.
В нейтронно-физическом расчёте использовалась расчётная схема с шестью точками на кассету и метод коррекции коэффициентов диффузии (МККД). Периферийные кассеты окружены рядом шестигранных каналов (всего 54 канала), представляющих экран. Таким образом, 18 теплогидравлических каналов протечек являются 54 нейтронно-физическими каналами экрана.
Библиотека двухгрупповых нейтронно-физических констант и расчёт выгорания проведен по комплексу программ САПФИР_95&RC_ВВЭР [4].
В качестве узловых значений параметров обратных связей НФХ для 2 блока Хмельницкой АЭС приняты следующие значения:
Каждая петля разбивалась на следующее количество расчётных объёмов:
Исходное положение регулирующей группы консервативно выбрано 90% от низа активной зоны, а задержка на начало движения регулирующей группы консервативно принята 6 с после срабатывания УПЗ (принята исходя из получения максимальной скорости роста нейтронного потока из-за влияния обратных связей по топливу и теплоносителю).
По данным работы [1] время падения группы УПЗ составило 1,6-1,8 с, в расчёте принято 1,7 с.
Расчёт режима со срабатыванием УПЗ для 2 блока Хмельницкой АЭС проведен в реалистичном приближении (отклонения по мощности реактора, расходу теплоносителя, температуре теплоносителя на входе в реактор не учитываются).
Кроме того, используются следующие допущения:
Период разгона реактора в АКНП-И вычисляется через показания внезонных ионизационных камер (ИК). ИК расположены в биологической защите.
Система АКНП-И состоит из двух комплектов, каждый из которых имеет 3 канала детектирования потока. Каждый канал содержит два детектора, расположенных по высоте в серединах нижней и верхней частей активной зоны.
Для определения периода разгона и уровня нейтронного потока в АКНП-И используется суммарный сигнал верхней и нижней камер, причем весовой коэффициент для верхней камеры в 1,5 раза выше, чем для нижней.
На Рис.1-2 приведены картограмма расположения групп органов регулирования в активной зоне для 2 блока Хмельницкой АЭС и схема расположения ионизационных камер вокруг активной зоны. К комплекту №1 АКНП относятся каналы № 17, 27 и 7, к комплекту №2 - каналы № 22, 2 и 12 (Рис.2).
Рис.1. Картограмма расположения групп ОР СУЗ в активной зоне
для 2 блока Хмельницкой АЭС.

Рис.2. Схема расположения ионизационных камер вокруг активной зоны.

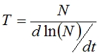
В соответствии с описанием алгоритма АКНП-И [1], используемого для 2-го блока Хмельницкой АЭС, период (размерность в секундах) в момент времени t0 определяется по формуле:
![]() |
где:
Значение шага дискриминации выбирается в зависимости от текущей нейтронной мощности и периода разгона реактора. Показания детекторов записываются в устройствах накопления и обработки информации (УНО).
Значение Δt в диапазоне мощности 25-75% от номинала для малых периодов в соответствии с [1] принято равным 0,15 с. Соответственно, интервал времени, на котором определяется период реактора, принят равным 0,15 × 8 = 1,2 с. Этот интервал времени называется временем задержки.
Поскольку описание нейтронного поля в трёх измерениях в области расположения детекторов затруднительно, в ПК ТРАП-КС расчёт уровня нейтронного потока в каналах ионизационных камер (ИК) производится по упрощённым формулам.
В основу модели внезонного датчика нейтронного потока (ионизационные камеры) в программном комплексе ТРАП-КС положено соотношение для расчета ослабления плотности потока нейтронов Φ в зависимости от толщины защиты r:
![]() |
где:
Положение датчика, поперечными размерами которого пренебрегается, в плане активной зоны однозначно определяется его расстоянием от центра активной зоны (R), и углом φ, отсчитываемым по часовой стрелке от линии, идущей из центра активной зоны вертикально вверх относительно картограммы активной зоны.
Предполагается, что датчик "видит" наружные ТВС, количество которых (КТ) задается в исходных данных модели. Задание для конкретного датчика величин R, φ и КТ с учетом указанных допущений определяет набор ТВС, участвующих в формировании сигнала этого датчика.
Эффективность датчика по высоте активной зоны характеризуется расстоянием низа и верха секций его детекторов (которых может быть несколько) от низа активной зоны.
Сигнал мощности Wc, формируемый внезонным датчиком нейтронного потока на заданном временном интервале, рассчитывается следующим образом:
![]() | |
![]() |
где:
Таким образом, получаемый сигнал в каналах ИК пропорционален плотности потока быстрых нейтронов в ближайших ТВС, расположенных на периферии активной зоны.
При проведении расчёта коэффициент Kик принят равным 1. Сигнал в ИК определяется изменением потока быстрых нейтронов в ближайших трёх периферийных ТВС, т.е. KT принято равным 3.
Среднее значение плотности потока нейтронов в каналах ИК Waν(τ) в расчёте определяется с использованием весовых коэффициентов для нижней и верхней камер (соответственно Кик-ниж и Кик-верх) из соотношения:
![]() |
где:
Как было отмечено выше, весовой коэффициент для верхней ИК принят в 1,5 раза больше, чем для нижней, т.е. Кик-верх=0,6 и Кик-ниж=0,4.
Результаты расчётного анализа
В Табл.3 приведена хронологическая последовательность событий при отключении одного из двух турбопитательных насосов.
Таблица 3. Последовательность событий, срабатывания систем и устройств. Отключение одного ТПН из двух работающих. 2 блок Хмельницкой АЭС.
В Табл.4 приведены результаты расчёта минимального достигнутого периода разгона реактора и момент времени его наступления.
Таблица 4. Результаты расчёта минимального периода разгона реактора.
испытания, % | |||
На Рис.3-10 приведены результаты расчёта по ПК ТРАП-КС в сопоставлении с экспериментальными данными и данными расчёта по коду DYN3D.
Результаты расчёта изменения нейтронной мощности по ПК ТРАП-КС удовлетворительно совпадают с результатами расчёта по коду DYN3D (Рис.3), приведенными в [1].
Отклонения по нейтронной мощности в течение первых 7 с процесса находятся в пределах 1-2% Nном. После 7 с процесса эти отклонения начинают увеличиваться. Это связано с влиянием изменения положения регулирующей 10-й группы, учитываемой при расчете по ПК ТРАП-КС, и с влиянием изменения температуры теплоносителя на входе в реактор, которая начинает уменьшаться после 8 с процесса.
Сопоставление результатов расчёта и эксперимента по изменению плотности нейтронного потока первого комплекта в каналах АКНП-И (Рис.3) показывает, что скорость роста нейтронного потока несколько выше, чем в эксперименте, т.е. консервативно с точки зрения возможности срабатывания АЗ по снижению периода разгона.
Возможными причинами этого завышения являются неучёт инерционности сигнала нейтронного потока в расчёте, возможные отклонения в степени влияния обратных связей, недостаток экспериментальных данных по изменению положения органов регулирования от времени.
Рис.3. Сопоставление результатов расчета и эксперимента.

1 - мощность реактора (ТРАП-КС);
2 - нейтронная мощность реактора (ТРАП-КС);
3 - нейтронная мощность реактора (DYN3D);
4 - показания каналов 1-6 АКНП (эксперимент).
Изменение показаний уровня нейтронного потока для нижней и верхней ИК приведено на Рис.4.
После срабатывания УПЗ и падения 2-й группы ОР СУЗ в верхней ИК происходит более быстрое снижение показаний, чем в нижней ИК. После окончания падения 2-й группы показания верхней и нижней ИК сравниваются. В дальнейшем скорость роста показаний в верхней ИК выше, чем в нижней, что связано с большим снижением температуры теплоносителя в верхней части активной зоны.
Рис.4. Показания ИК. ТРАП-КС.

1 - нижняя ИК (комплект №1, канал №1);
2 - верхняя ИК (комплект №1, канал №1);
3 - нижняя ИК (комплект №1, канал №2);
4 - верхняя ИК (комплект №1, канал №2);
5 - нижняя ИК (комплект №1, канал №3);
6 - верхняя ИК (комплект №1, канал №3).
На Рис.5 изображены графики периода реактора, полученные на основе расчётных и экспериментальных данных. Экспериментальный период получен непосредственно по показаниям АКНП-И по всем каналам и через токи детекторов.
Эти периоды расходятся в момент времени t = 3 c на 1-2 с. Возможно, показания АКНП-И не вполне пропорциональны токам в детекторах, и в ходе обработки сигнал искажается.
Значение периода, зафиксированного с помощью АКНП-И, известно только в отдельные моменты времени (раз в секунду). Эти показания представлены в целочисленном виде. Пять устройств накопления информации зарегистрировали период 7 с, одно - период 8 с.
Как ПК ТРАП-КС, так и код DYN3D занижают значение периода и опаздывают с его оценкой (по сравнению с периодом, определённым по токам детекторов). Это может говорить о некорректности или недостатке данных, полученных из эксперимента и внесённых во входные файлы программных комплексов.
Например, время падения группы стержней УПЗ по данным эксперимента имеет значительный разброс от 1,58 до 1,8 с. При этом, как видно из экспериментального графика, мощность начинает расти уже через 1,3 с после начала движения группы.
Можно сделать вывод, что либо время падения стержней определено неверно, либо закон падения нелинейный. В последнем случае стержни могут пройти за 1,3 с большую часть активной зоны и резко замедлиться внизу.
Для оценки возможных отклонений полученных по ПК ТРАП-КС по отношению к экспериментальным данным необходимо учесть возможные отклонения в пределах погрешности кодов эффектов реактивности, влияние работы регулятора ограничения мощности (РОМ), по воздействию которого движение регулирующей группы ОР СУЗ начинается сразу после срабатывания УПЗ и закон движения группы УПЗ.
Кроме того, и начальное значение регулирующей группы, данные по которой в [1] не приведены, может оказать определённое влияние на ход переходного процесса.
Рис.5. Сопоставление результатов расчёта периода реактора с данными испытания.

На Рис.6 приведены результаты расчёта периода реактора для разных исходных положений регулирующей группы без движения и с движением регулирующей группы сразу после начала падения УПЗ.
Результаты проведенного анализа показывают, что в этом случае расчётная величина минимального периода реактора составляет 7,8 с. Если принять погрешность измерения периода разгона 15%, то расчётное и экспериментальное значения периода сходятся в области погрешности.
Рис.6. Влияние отклонений по изменению положения
органов регулирования на период реактора.

Рис.7. Распределение неравномерностей энерговыделения (Kq) между ТВС.
Срабатывание УПЗ.
2 блок Хмельницкой АЭС.
t=0 c.

На Рис.8 приведены результаты расчёта по изменению уровня нейтронного потока в аппаратуре АКНП-И для разных исходных положений регулирующей группы без движения и с движением регулирующей группы сразу после начала падения УПЗ.
Результаты проведенного анализа показывают, что в случае работы РОМ при исходном положении регулирующей группы от низа активной зоны 90% расчётная величина скорости роста уровня нейтронного потока примерно соответствует данным эксперимента.
Рис.8. Влияние отклонений по изменению положения органов регулирования на показания уровня нейтронного потока в АКНП.

Алгоритм АКНП-И по расчёту периода может быть также смоделирован через точный период с помощью введения постоянной времени для показаний детекторов. Точный период рассчитывается, исходя из формулы:
![]() |
где:
Данная формула следует из определения периода.
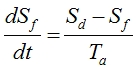
В процессе обработки "сырого" сигнала с детекторов (усилитель, преобразователь в дискретный сигнал) возникает задержка показаний. Оценку инерционности измерения можно провести с использованием постоянной времени измерения.
Фильтрованный сигнал можно оценить, исходя из дифференциального уравнения:
![]() |
где:
На Рис.9 приводится точный период, а также период, рассчитанный с помощью постоянной времени Ta = 0,2 с и по алгоритму АКНП-И с шагом дискриминации 0,15 с.
Из графика видно, что значение минимального периода по АКНП-И хорошо совпадает со значением точного минимального периода, и ещё лучше совпадает со значением периода, рассчитанным через постоянную времени.
Но показания запаздывают на величину порядка половины времени задержки. В данном случае она равна 1,2 с. Таким образом, в аппаратуре АКНП-И для измерения периода реактора величина постоянной времени измерения небольшая.
Рис.9. Сопоставление результатов расчёта периода реактора
по алгоритму АКНП-И и через постоянную времени.

Для предотвращения срабатывания АЗ в режиме УПЗ в алгоритме АКНП-И можно рассмотреть возможность увеличения времени дискриминации в алгоритме работы АКНП-И.
На Рис.10 представлены графики периодов реактора для различных времён задержки. При времени задержки 4,4 с период уже не опускается ниже 10 с.
Рис.10. Зависимость регистрируемого периода реактора от времени задержки.

Заключение
Результаты проведенного расчёта показывают, что ПК ТРАП-КС позволяет воспроизводить изменение показаний в АКНП с удовлетворительной для инженерных расчётов точностью.
Список литературы
ИСТОЧНИК: М.А. Быков, Г.В. Алехин, И.Г. Петкевич
(ОКБ ГИДРОПРЕСС)
ДАТА: 19.06.2009
Темы: ОКБ Гидропресс, АКНП, Статьи, Обеспечение безопасности АЭС с ВВЭР, Украина